
Eräs Pistokevirtausreaktori (PFR), joka tunnetaan myös männän virtausreaktorina, on tärkeä työkalu kemiallisessa tekniikassa, jota käytetään tutkimaan, kuinka kemialliset reaktiot tapahtuvat pitkän putken sisällä.Tämän tyyppisessä reaktorissa nesteet pumpataan toiseen päähän ja liikkuvat tasaisesti putken läpi toiseen päähän vakiona.Virtaus on sileä ja jopa ilman pyörteistä tai sekoittamista matkan varrella.Tämä tarkoittaa, että nesteet kulkevat erillisissä kerroksissa tai pistokkeissa pitäen reaktion eri vaiheet erillään.Toisin sanoen putkeen aikaisemmin tulevat nesteet ovat aina edellä myöhemmin tulevia nesteitä, eivätkä ne sekoittu toisiinsa liikkuessaan.Tämä auttaa hallitsemaan kemiallista reaktiota, koska reagenssit pidetään järjestyksessä, jolloin reaktion jokainen osa tapahtuu askel askeleelta, kun nesteet virtaavat putken läpi.
Ainutlaatuisella tavalla, jolla nesteet liikkuvat PFR: ssä, on joitain tärkeitä etuja kemiallisille reaktioille.Koska sekoittamista ei ole sekoittumista taaksepäin, jokainen nestekerros viettää saman ajan reaktorissa, mikä johtaa tasaiseen reaktioprosessiin.Tämä helpottaa ennustaa, kuinka paljon tuotetta valmistetaan, koska reaktioaika on sama nesteen jokaiselle osalle.Voit säätää putken pituutta ja leveyttä, virtauksen nopeutta ja lämpötilaa reaktion hallitsemiseksi ja parhaiden tulosten saamiseksi.Pistokevirtausreaktorit ovat erityisen hyödyllisiä reaktioissa, jotka tarvitsevat korkeita lämpötiloja tai sisältävät kaasuja, koska tasainen virtaus pitää reaktion hallinnassa.Niitä käytetään yleisesti teollisuudenaloilla, kuten öljynjalostus, muovien valmistus ja jätteiden kaasujen käsittely.Tämä malli on hyvä myös laajamittaiselle tuotantoon, koska reaktorin sisällä tapahtuu helpompaa ennustaa ja hallita.
Pistokevirtausreaktoreille (PFR) on ominaista niiden yksisuuntainen virtaus, jossa reagenssit ja tuotteet liikkuvat yksinomaan eteenpäin suuntautuvaan suuntaan reaktorin pituuden pitkin.Tämä virtaviivainen virtauskuvio saavutetaan suunnittelemalla reaktori putkimaisena kanavana, joka minimoi mahdolliset nesteen elementtien selkänojat.PFR: ssä nesteelementit, joita usein kutsutaan pistokkeiksi, säilyttävät identiteettinsä edetessä reaktorin läpi, mikä tarkoittaa, että vierekkäisten tulppien välillä on minimaalista diffuusiota.Tämä järjestetty liike on tärkeä reaktiokinetiikan tarkan hallinnan saavuttamiseksi, koska jokainen tulppa kokee ainutlaatuisen ja ennustettavan reaktio -olosuhteiden joukon, kun se liikkuu reaktorin läpi.Sisääntulon reagenssit kohtaavat korkeimmat pitoisuudet ja tuoreimman kemiallisen ympäristön, jota voidaan strategisesti hyödyntää nopean reaktionopeuden lisäämiseksi.

Kuva 2. Pistotulpan reaktorin (PFR) suuntavirtauksen esitys
Pistokkeiden edetessä reagenssipitoisuudet vähenevät, kun taas tuotepitoisuudet kasvavat peräkkäisen muuntamisprosessin seurauksena reaktorin pituudella.Tämä systemaattinen eteneminen on edullinen reaktioille, jotka vaativat tiukkaa stökiometristä kontrollia tai niiden pitoisuuden vaihteluille herkkiä.Estämällä kierrätyksen ja ylläpitämällä tasaisen suuntavirtauksen, PFR: t vähentävät sivureaktioiden riskiä, joka voi tapahtua, jos reagenssit ja tuotteet sekoittuvat tai kierrättävät.Tämä tekee PFR: stä ihanteellisen prosesseille, kuten polymerointi, palaminen tai kompleksiset kemialliset synteesit.Ennustettava virtauskuvio parantaa reaktiomallinnuksen ja mittakaavan tarkkuutta, mikä tekee PFR: istä erittäin arvokkaita sekä tutkimuksissa että teollisissa sovelluksissa.
Plug -virtausreaktorien määrittelevä ominaisuus on pitoisuusgradientin kehitys reaktorin pituudella.Sisääntulossa reagenssit otetaan käyttöön korkeimmissa pitoisuuksissaan, jolloin reaktiota voidaan jatkaa.Reaktion edetessä reagenssipitoisuudet vähenevät tasaisesti, kun taas tuotepitoisuudet kasvavat samanaikaisesti.Tämä johtaa hyvin määriteltyyn konsentraatiogradienttiin, joka kehittyy ennustettavasti sisääntulosta reaktorin poistoaukkoon.Tämä gradientti on jyrkimmin sisääntuloaukon lähellä, missä reagenssipitoisuudet ovat niiden huipulla ja reaktionopeus on korkein reagenssien runsauden vuoksi.Kun reagensseja kulutetaan, gradientti tasoittuu vähitellen, heijastaen vähentynyttä reaktiotasoa järjestelmän lähestyessä tasapainoa.
Takahekoituksen puuttuminen PFRS: ssä varmistaa, että jokainen pistoke kokee ainutlaatuisen pitoisuusympäristön, edistäen tehokasta ja peräkkäistä reagenssin muuntamista.Konsentraatiogradientti on edullinen reaktioille pitoisuudesta riippuvan kinetiikan kanssa, missä reaktionopeus on reagenssipitoisuuden funktio.Tällaisissa tapauksissa korkea reagenssipitoisuus sisääntulossa maksimoi alkuperäisen reaktionopeuden, mikä johtaa reagenssien tehokkaaseen hyödyntämiseen.Tämä reagenssien asteittainen kulutus minimoi ei -toivottujen sivureaktioiden riskin, jotka voivat tapahtua välipitoisuuksissa.Kilpailukykyisiä reaktioita koskevissa prosesseissa pitoisuusgradientti voidaan hallita halutun tuotereitin suosimiseksi.Tämä tekee PFR: stä erittäin tehokasta monimutkaisissa synteesiprosesseissa, kuten farmaseuttisessa tai hienosäätössä, jossa tuotteiden selektiivisyys ja saannon optimointi.
Yksi tulpan virtausreaktorien eduista on tasainen viipymisajan jakautuminen.PFR: ssä jokainen reagenssitulppa viettää saman määrän aikaa kulkevan reaktorin läpi sisääntulosta poistoaukkoon.Tämä tasainen viipymisaika varmistaa, että kaikki reagenssimolekyylit ovat identtisiä reaktio -olosuhteita, mukaan lukien lämpötila, paine ja pitoisuusprofiilit.Tämä johdonmukaisuus saavutetaan, koska pistokkeet liikkuvat reaktorin läpi järjestetyllä, peräkkäisellä tavalla ilman mitään takaisinsekoitusta tai säteittäistä dispersiota.Näin ollen reaktorin sisällä kuluttavien aikataulujen variaatioissa ei ole vaihtelua, mikä on jyrkässä vastakohtana jatkuvien sekoitettujen säiliöiden reaktorien (CSTR) kanssa, joissa reagensseilla voi olla suuresti vaihtelevia viipymisaikoja perusteellisen sekoituksen vuoksi.
Yhtenäinen viipymisaika on hyvä ylläpitämään yhdenmukaista tuotteen laatua, etenkin monimutkaisissa kemiallisissa prosesseissa.Esimerkiksi polymerointireaktioissa tasainen viipymisaika varmistaa tasaisen polymeeriketjun pituudet ja molekyylipainon jakautumisen, mikä johtaa erinomaiseen tuotteen suorituskykyyn.Farmaseuttisessa synteesissä se takaa johdonmukaisen kemiallisen puhtauden ja voimakkuuden sääntelyn noudattamiseen ja tuotteiden tehokkuuteen.Ennustettava viipymisajan jakauma yksinkertaistaa kineettistä mallintamista ja mittakaavaa, mikä mahdollistaa reaktiokäyttäytymisen tarkan simuloinnin teollisessa mittakaavassa.Tämä ennustettavuus parantaa prosessin hallintaa ja optimointia, mikä johtaa lisääntyneeseen tuottavuuteen ja kustannustehokkuuteen.
Pistokevirtausreaktorit tunnetaan korkeasta muuntamistehokkuudestaan tilavuusyksikköä kohti, mikä on parempi kuin jatkuvien sekoitettujen säiliöiden reaktorien (CSTR).PFR: ssä reagensseja kulutetaan jatkuvasti, kun ne liikkuvat reaktorin läpi lineaarisen ja progressiivisen reaktioreitin jälkeen.Tämä peräkkäinen kulutus minimoi reagoimattomien lajien pitoisuuden missä tahansa pisteessä reaktorin pituuden pitkin, mikä johtaa korkeampaan kokonaismuuntamisnopeuteen.Takahekoituksen puuttuminen mahdollistaa reagenssien altistumisen optimaalisille reaktio-olosuhteille koko matkan ajan, maksimoimalla reaktionopeus ja minimoimalla ei-toivottujen sivutuotteiden muodostuminen.Tämä on edullista nopeissa tai erittäin eksotermisissä reaktioissa, jotka vaativat nopeaa reagenssin ehtymistä turvallisuuden ja tuotteiden eheyden ylläpitämiseksi.
Tällaisissa tapauksissa pistokevirran suunnittelu helpottaa tehokasta lämmönhallintaa estämällä paikallisia lämpötilan piikkejä, jotka voivat johtaa lämmön karkaavaan tai tuotteen heikkenemiseen.PFR: ien korkea muuntamistehokkuus vähentää vaadittua reaktorin määrää, mikä johtaa pienempiin laitteiden jalanjälkiin ja alhaisempiin pääomakustannuksiin.Tämä tehokkuus johtaa myös vähentyneisiin toimintakuluihin, koska halutun tuotteen saannon saavuttamiseksi tarvitaan vähemmän energiaa ja vähemmän raaka -aineita.Tämä tekee PFR: stä houkuttelevan laajamittaisissa teollisissa sovelluksissa, kuten petrokemian prosessoinnissa, irtotavarana kemiallisessa tuotannossa ja ympäristökäsittelyjärjestelmissä.
Pistokevirtausreaktorit toimivat vakaan tilan olosuhteissa pitäen tasaiset virtausnopeudet, pitoisuusprofiilit ja lämpötilajakaumat koko reaktorissa.Vakaan tilan toiminnassa virtaus- ja ulosvirtausnopeudet ovat vakioita, mikä varmistaa jatkuvan ja keskeytymättömän tuotantoprosessin.Tämä vakaus on hyvä yhdenmukaisen tuotteen laadun ylläpitämiseksi, mikä on tärkeää teollisuudenaloilla, kuten petrokemian jalostaminen, polymeerien valmistus ja laajamittainen kemiallinen synteesi.PFR: ien vakaan tilan luonne yksinkertaistaa prosessin hallintaa ja automatisointia, koska järjestelmän toimintaparametrit pysyvät vakiona ajan myötä.
Tämä ennustettavuus parantaa skaalautuvuutta ja prosessien luotettavuutta vähentäen reaktio -olosuhteiden seurannan ja säätämisen monimutkaisuutta.Lisäksi vakaan tilan toiminta minimoi tuotekoostumuksen vaihtelut, varmistaen johdonmukaisen kemiallisen puhtauden ja laadun arvokkaiden tuotteiden, kuten lääkkeiden ja erikoiskemikaalien suhteen.Vakaan tilan toiminta helpottaa myös energiatehokkuutta ja prosessien optimointia, koska vakiot käyttöolosuhteet mahdollistavat lämpö- ja massansiirtoprosessien tarkan hallinnan.Tämä tekee PFRS: stä soveltuvan sovelluksiin, jotka vaativat reaktiokinetiikan ja tuotteiden selektiivisyyden tiukkaa hallintaa, mikä edistää edelleen kustannussäästöjä ja kestävyyttä kemiallisessa valmistuksessa.
Pistokevirtausreaktorit on suunniteltu tukemaan tehokasta lämmönsiirtoa ja hallitsemaan lämpötiloja eksotermisissä tai endotermisissä reaktioissa.Jatkuva virtauskuvio estää selkänojaa, mikä mahdollistaa tarkan lämpötilanhallinnan reaktorin pituudella.Tämä mahdollistaa ohjattujen lämpötilagradienttien toteutuksen tai lämmönvaihtimien käytön lämmönhallinnan optimoimiseksi.Tehokas lämmönsiirto ei vain paranna energiatehokkuutta, vaan myös parantaa tuotteen selektiivisyyttä, mikä tekee PFR: istä ihanteellisia lämpötilaherkät reaktioille, kuten hienon kemiallisen synteesin tai katalyyttisten prosessien reaktioille.Erittäin eksotermisissä reaktioissa PFR: t auttavat häviämään lämpöä tehokkaasti, estäen lämpötilan ja turvallisen käytön varmistamisen.Sitä vastoin endotermisissä reaktioissa ne helpottavat tehokasta lämmönsyöttöä reaktionopeuksien ja muuntamistehokkuuden ylläpitämiseksi.
PFR: t ovat monipuolisia ja niihin mahtuu kaasufaasi-, nestefaasi- ja heterogeeniset reaktiot, mukaan lukien katalyyttit.Tämä sopeutumiskyky mahdollistaa niiden käytön monissa kemiallisissa prosesseissa, kuten kaasufaasin hapettumisessa, nestefaasin polymeroinnissa ja katalyyttisessä hydrauksessa.Pistokevirran suunnittelu maksimoi reagenssikatalysaattorin kosketuksen, parantaa reaktiotapoja ja katalyytin tehokkuutta teollisissa sovelluksissa petrokemian prosessoinnissa, polymeerien valmistuksessa ja ympäristökatalyysissä.
Pistotulpan virtausreaktori (PFR) on suunniteltu tehokkaaseen ja hyödylliseksi kemiallisessa prosessoinnissa.Se näyttää yleensä pitkältä, kapealta putkelta tai putkelta, jonka avulla kemikaalit virtaavat tasaisesti päästä toiseen.Putken sisällä ei ole sekoitustyökaluja, kuten sekoittajia.Tämän vuoksi kemikaalit liikkuvat sujuvasti, kuten mäntä, sekoittamatta toisiinsa.Tämä tasainen virtaus auttaa reaktioita tapahtumaan tasaisesti ja mahdollistaa hyvän hallinnan siitä, kuinka nopeasti ne tapahtuvat.Tämä tekee PFR: stä erittäin hyödyllisen kemiallisissa tehtaissa ja teollisuudessa.

Kuva 3. Pistokevirtausreaktorikaavio
Kaavio kuvaa tulpan virtausreaktoria (PFR), joka on tyyppinen kemiallinen reaktori, joka on suunniteltu jatkuvaan kemialliseen prosessointiin.Tässä asennuksessa reagenssit tulevat sisääntuloon (x = 0) ja liikkuvat tasaisesti lieriömäisen putken läpi kohti poistoa (x = l).Reaktorin sisällä oleva virtaus on virtaviivainen, säilyttäen tasaisen nopeusprofiilin, jossa jokainen nesteelementti kulkee reaktorin akselin suuntaisesti ilman mitään selkänojaa.Tämän järjestelyn ansiosta reagenssit voivat muuttua vähitellen tuotteiksi, kun ne etenevät reaktorin pituuteen.𝑑𝑥: ksi merkitty varjostettu segmentti edustaa pientä tilavuuselementtiä reaktorissa.Tätä differentiaalista viipaletta tarvitaan PFR: n sisällä tapahtuvien kemiallisten reaktioiden mallintamiseen, koska se auttaa arvioimaan reaktionopeuden ja pitoisuuden muutoksia reagenssien edetessä.
Radiaalisen sekoituksen puuttuminen säilyttää pistokevirtausolosuhteet varmistaen, että jokainen nesteelementti ylläpitää identiteettiään ja koostumustaan koko matkansa ajan.Seurauksena pitoisuus- ja reaktionopeudet vaihtelevat reaktorin pituuden pitkin, mutta pysyvät tasaisena minkä tahansa poikkileikkauksen välillä.Tämä pistokevirtaominaisuus tekee PFR: t, jotka sopivat kemiallisiin prosesseihin, jotka vaativat tarkkaa hallintaa reaktioajan ja tuotteiden muodostumisen suhteen.Koska kaikilla nesteelementeillä on sama viipymisaika, reaktori tarjoaa johdonmukaisen tuotteen laadun ja tehokkaan reagenssin muuntamisen.Näiden etujen vuoksi PFR: ää käytetään laajasti kemiallisessa valmistuksessa, mukaan lukien sovellukset, kuten polymerointi, kaasufaasireaktiot ja katalyyttiset prosessit.
Plug -virtausreaktori (PFR) toimii ainutlaatuisella virtauskuviolla, joka pitää reaktioolosuhteet yhdenmukaisina koko sen pituuden ajan.Tämä suunnittelu mahdollistaa tarkka hallinnan viipymisaikaan, lämpötilaan ja paineeseen, mikä tekee PFR: istä erittäin tehokasta kemiallisia prosesseja, jotka vaativat tarkkaa reaktionhallintaa.Tässä osassa tutkitaan PFR: ien yksityiskohtaisia toimintaperiaatteita ja niiden merkitystä teollisen kemiallisen prosessoinnin yhteydessä.
Pistokevirtausreaktorissa (PFR) nesteet liikkuvat jatkuvasti ja tasaisesti lieriömäistä putkea tai putkea pitkin, mikä luo erittäin järjestäytyneen virtauskuvion.Reagenssit otetaan käyttöön reaktorin toisessa päässä ja virtaavat tasaisesti toiseen päähän, missä ne poistuvat tuotteista.Tämä malli varmistaa saumattoman etenemisen sisääntulosta poistoaukkoon ilman nesteen liikkumisen keskeyttämistä.Reaktorin arkkitehtuuri ylläpitää tasaista virtaussuunta, joka estää tiukasti taaksepäin sekoittumisen tai kierrätyksen.Tämä yksisuuntainen liike on tärkeä reagenssien ja tuotteiden kemiallisen eheyden säilyttämisessä, kun ne kulkevat reaktorin läpi.Tämän virtauskuvion keskeinen ominaisuus on, että jokainen pieni segmentti tai tulppa, neste säilyttää oman ainutlaatuisen kemiallisen identiteettinsä, kun se liikkuu reaktorin läpi.Nämä pistokkeet eivät sekoitu toistensa kanssa sivusuunnassa, varmistaen, että koostumus jokaisessa pistokkeessa pysyy vakiona koko matkansa ajan.
Tämä nesesegmenttien eristäminen säilyttää pitoisuusgradientit tehokkaiden kemiallisten reaktioiden varalta.Radiaalisen sekoituksen puuttuminen johtaa myös ennustettavampaan reaktioprofiiliin, mikä mahdollistaa kemiallisten prosessien tarkan mallintamisen ja optimoinnin.PFR: n virtaviivainen virtauskuvio minimoi turbulenssin ja kaoottisen liikkeen, mikä auttaa ylläpitämään reagenssivirtojen eheyttä.Tämä järjestetty virtaus tukee suurta muuntamistehokkuutta, koska reagenssit kokevat jatkuvasti samat reaktio -olosuhteet kuin ne kulkevat reaktorin läpi.Takahekoituksen puuttuminen varmistaa, että kunkin tulpan viipymisaika on identtinen, mikä johtaa yhtenäiseen altistumiseen lämpötilaan ja paineeseen.Tämä yhtenäisyys parantaa reaktionopeuksia ja parantaa tuotteiden selektiivisyyttä, mikä johtaa kontrolloituneempaan ja tehokkaampaan kemialliseen prosessiin.Virtauskuvioiden ja reaktio -olosuhteiden tarkan hallinnan vuoksi PFR: t sopivat reaktioihin, jotka vaativat tasaista ympäristöä korkean saannon ja selektiivisyyden saavuttamiseksi.

Kuva 4. Pistotulpan reaktorin (PFR) jatkuva virtaus ja reaktion eteneminen
Reaktorin kyky ylläpitää vakaan tilan toimintaa pitoisuuden tai lämpötilan vähimmäisvaihteluilla tekee siitä ihanteellisen valinnan kemiallisille ja lääketeollisuudelle.Näillä aloilla tuotteiden johdonmukaisuuden ja laadun ylläpitäminen on tärkeää, ja PFR: ien ennustettava suorituskyky tukee näitä vaatimuksia tehokkaasti. PFR: ien skaalautuvuus parantaa niiden hyödyllisyyttä edelleen teollisuussovelluksissa.Niiden modulaarinen suunnittelu mahdollistaa reaktorin pituuden ja halkaisijan helpon säätämisen erilaisten tuotantokapasiteettien mukauttamiseksi.Tämä joustavuus yhdistettynä niiden tehokkaisiin virtausominaisuuksiin tekee PFR: stä edullisen vaihtoehdon laajamittaiselle jatkuvalle prosessoinnille.Seurauksena on, että niitä käytetään laajasti prosesseissa, kuten polymerointi, hydraus ja katalyyttiset reaktiot, joissa kontrolloidun reaktioympäristön ylläpitäminen on tarpeen tuotteiden laadun ja prosessin tehokkuuden kannalta.
Pistotulpan reaktorit (PFR) tarjoavat useita etuja kemiallisille muunnoksille.Ne tarjoavat tarkan reaktionhallinnan ylläpitämällä tasaista virtausnopeutta ja estämällä takaisinsekoitusta varmistaen, että jokainen reagenssin tulppa kokee jatkuvasti reaktio-olosuhteita.Tämä parantaa tehokkuutta ja minimoi sivutuotteet, mikä on tärkeä herkille reaktioille, kuten alkoholin hapettuminen tai pigmentin tuotanto.PFR: t tarjoavat myös korkean tuotteen puhtautta ja konsistenssia, koska kaikki reagenssit käyvät läpi saman reaktioajan ja olosuhteet.Estämällä takaisinsekoitusta ne parantavat selektiivisyyttä ja vähentävät ei-toivottuja sivureaktioita, mikä tekee niistä ihanteellisia monimutkaisia kemiallisia prosesseja.Lisäksi PFR: t tukevat jatkuvaa tuotantoa, minimoimalla seisokkeja ja vähentävät kustannuksia, mikä parantaa suurten valmistuksen tehokkuutta.Niiden skaalautuvuus ja joustavuus mahdollistavat virtausnopeuksien ja reaktorin mittojen helpon säätämisen, mikä varmistaa johdonmukaiset tulokset pilottimittaisesta täysimittaiseen tuotantoon.Nämä edut tekevät PFR: stä edullisen valinnan valvottaville kemiallisille muutoksille teollisuudessa, joka vaatii suurta tarkkuutta ja tehokkuutta.
Pistokevirtausreaktorit (PFR) on suunniteltu ylläpitämään tasaista virtausta varmistaen, että kaikki reagenssihiukkaset kulkevat reaktorin läpi samalla nopeudella.Tämä tasaisuus takaa, että jokainen ääretön nesteen tulppa, joka sisältää reagenssimolekyylejä, identtiset viipymisajat, kun se siirtyy sisääntulosta poistoaukkoon.Seurauksena on, että jokainen reaktoriin saapuva molekyyli altistetaan tasaisille reaktioolosuhteille, mukaan lukien lämpötila, paine ja pitoisuusgradientit, kun se etenee reaktioreitin läpi.Tämä tasainen virtauskuvio minimoi reaktioasteiden vaihtelut, mikä johtaa ennustettavissa oleviin ja hallittavissa oleviin kemiallisiin muunnoksiin.Ja koska kussakin pistokkeessa ei ole sivuttaissekoitusta, pitoisuusprofiili on edelleen määritelty jyrkästi reaktorin pituudella, mikä mahdollistaa reaktiokinetiikan ja muuntoasteen tarkan hallinnan.Tämä ominaisuus tekee PFR: stä edullisen reaktioiden suorittamisessa, jotka vaativat tiukkaa viipymisajanhallintaa optimaalisen saannon saavuttamiseksi.
PFR: ien pistokevirtauskuvio eliminoi tehokkaasti reagenssien takaisin sekoittumisen tai kierrätyksen, mikä on yleinen ongelma muissa reaktorityypeissä, kuten jatkuvan sekoitettujen säiliöreaktoreiden (CSTR).Estämällä reagenssien väliset vuorovaikutukset muuntamisen eri vaiheissa, PFR: t lisäävät reaktion tehokkuutta ja varmistavat yhtenäisemmän tuotekannon.Tämä takaisinsekoituksen puute minimoi myös ei-toivottujen sivutuotteiden muodostumisen, koska reagenssit eivät voi ennenaikaisesti olla vuorovaikutuksessa edistyneempien reaktiovälituotteiden tai lopputuotteiden kanssa.Tuloksena oleva yhtenäinen reaktioympäristö on hyödyllinen monimutkaisissa kemiallisissa järjestelmissä selektiivisyyden ja tuotteiden puhtauden suhteen.Näin ollen PFR: ää käytetään laajasti teollisuudessa, joka vaatii tarkkaa kemiallista synteesiä, kuten lääkkeitä ja erikoiskemikaaleja.Niiden kyky ylläpitää jatkuvia reaktio-olosuhteita välttämällä ristikontaminaatiota reaktiovaiheiden välillä osoittaa niiden merkityksen nykyaikaisissa kemian tekniikan prosesseissa.
Pistokevirtausreaktorissa (PFR) aika, jolloin jokainen reagenssimolekyylien ryhmä kuluttaa reaktorin sisällä, on johdonmukainen, mikä on erittäin tärkeää parhaan reaktioasteen ja korkean muuntamisen tehokkuuden saamiseksi.PFR: ssä reagenssit tulevat erillisinä tulppina, jotka liikkuvat reaktorin läpi samalla nopeudella, mikä tarkoittaa, että jokainen tulppa kokee samat olosuhteet, kuten lämpötila ja paine, kun se kulkee läpi.Tämä jopa valotus mahdollistaa tarkan hallinnan siitä, kuinka pitkälle reaktio menee ja mitä tuotteita valmistetaan.Koska jokainen pistoke saa saman hoidon, ei -toivottujen sivureaktioiden mahdollisuudet tai tuotteen laadun variaatiot vähenevät huomattavasti.Tämä tekee PFR: stä hyödyllistä reaktioissa, jotka ovat herkkiä lämpötilan, paineen tai ajan muutoksille.Tarjoamalla tasaisen ja ennustettavan ympäristön PFR: t auttavat saavuttamaan yhdenmukaiset ja luotettavat reaktiotulokset, mikä johtaa optimoituihin reaktioasteisiin.
PFR: t estävät myös reagenssien sekoittamisen virtausreittiä pitkin, mikä auttaa reaktiota tehokkaammin.Toisin kuin jatkuvat sekoitetut säiliöreaktorit (CSTRS), joissa reagensseja sekoitetaan jatkuvasti, PFR: t ylläpitävät tasaista virtausta, jossa reagenssit liikkuvat eteenpäin sekoittamatta niiden pistokkeiden kanssa niiden takana tai edessä.Tämä varmistaa, että reagenssit muunnetaan vähitellen tuotteiksi, kun ne liikkuvat reaktorin läpi, mikä auttaa välttämään ylikuormitusta tai alitietoa.Tämä tarkka reaktioajan ja pitoisuuden hallinta parantaa halutun tuotteen selektiivisyyttä, mikä johtaa suurempaan satoon ja parempaan kokonaistehokkuuteen.Tämä hallintataso on tärkeä monimutkaisissa reaktioissa, jotka tuottavat välilajeja, koska se sallii näiden välituotteiden huolellisen hallinnan välttää ei -toivottuja sivureaktioita.Tämän vuoksi PFR: ää käytetään laajasti toimialoilla, joilla vaaditaan korkea selektiivisyys, tuottavuus ja johdonmukainen tuotteen laatu.
Pistotulpan virtausreaktorien (PFR) tasainen virtauskuvio varmistaa tasaisen lämpötilan ja paineprofiilien koko reaktorin koko pituuden ajan.Tämä yhtenäisyys on hyvä estää paikallisia kuumia pisteitä tai kylmävyöhykkeitä, jotka voivat vaikuttaa negatiivisesti reaktionopeuksiin ja tuotteiden laatuun.Kemiallisissa prosesseissa lämpötilan vaihtelut voivat johtaa epätasaisiin reaktionopeuksiin aiheuttaen epätoivottujen sivutuotteiden tai epäjohdonmukaisten tuotteiden saannon muodostumisen.Ylläpitämällä tasaista lämpötilaprofiilia PFR: t mahdollistavat tarkemman hallinnan reaktiokinetiikassa varmistaen, että kemialliset reaktiot etenevät suunnitellulla nopeudella.Tämä kontrolli on hyödyllinen erittäin eksotermisille tai endotermisille reaktioille, joissa jopa pienet lämpötilan vaihtelut voivat johtaa karkaaviin reaktioihin tai epätäydellisiin muunnoksiin.Yhdenmukainen lämpötilan jakautuminen myötävaikuttaa parantamaan turvallisuutta, tuotteiden johdonmukaisuutta ja prosessien yleistä luotettavuutta.
Lämpötilan tasaisuuden lisäksi tasainen virtauskuvio PFRS: ssä varmistaa myös tasaiset paineprofiilit reaktorin pituuden pitkin.Vakaa paineympäristö auttaa ylläpitämään haluttuja virtausnopeuksia ja reagenssipitoisuuksia optimaalisen muuntamistehokkuuden saavuttamiseksi.Tämä konsistenssi parantaa lämpöä ja massansiirtotehokkuutta, jolloin reagenssit voivat olla vuorovaikutuksessa katalyytin tai reaktioväliaineen kanssa.Parannettu massansiirto minimoi konsentraatiogradientit, jotka muuten voivat rajoittaa reaktionopeuksia ja alentavaa muuntotehokkuutta.Tasainen paine- ja lämpötilaprofiilit vähentävät reaktorin seinien mekaanista jännitystä, pidentäen laitteiden käyttöikää ja vähentävät ylläpitokustannuksia.Kaiken kaikkiaan PFR: ien kyky ylläpitää tasaista lämpötilaa ja paine -olosuhteet maksimoivat reaktion tehokkuuden ja tuotteen laadun varmistaen samalla turvallisen ja luotettavan toiminnan.
Pistokevirtausreaktorit (PFR) tarjoavat etuja reaktion selektiivisyyden säätelemisessä niiden jatkuvan virtauskuvion ja selkäosoituksen puuttumisen vuoksi.PFR: ssä reagenssit liikkuvat reaktorin läpi pistokkeina pitäen niiden suhteelliset sijainnit koko reaktorin pituuden ajan.Tämä yksisuuntainen virtauskuvio mahdollistaa kemiallisen reaktion ennustettavan etenemisen, koska reagenssit kulutetaan tasaisesti reaktorin pituuteen.Koska reagenssit ovat ehtyneet, pitoisuusgradientti on luonnollisesti vakiintunut, mikä ajaa jatkuvasti reaktiota eteenpäin.Tämä gradientti varmistaa, että reagenssit altistuvat optimaalisille reaktio -olosuhteille jokaisessa pisteessä reaktoria pitkin, edistäen tehokkaita muuntoopeuksia.Järjestelmällinen virtaus minimoi reagenssien ja tuotteiden ennenaikaisen sekoittamisen todennäköisyyden, säilyttäen suunnitellun reaktioreitin ja lisäämällä selektiivisyyttä.Selasekoituksen puuttuminen ei vain edistä reaktioympäristön parempaa hallintaa, vaan auttaa myös ylläpitämään terävämpää siirtymää reagenssi- ja tuoterikkaiden vyöhykkeiden välillä optimoimalla kokonaisreaktion tehokkuuden.
Tämä virtausominaisuus on edullinen reaktioille, jotka seuraavat ensimmäisen asteen tai korkeamman asteen kinetiikkaa, jossa reaktiopitoisuudet vaikuttavat reaktionopeuteen suoraan.Tällaisissa tapauksissa pitoisuusgradientti reaktorin pituudella varmistaa, että reaktionopeus on jatkuvasti korkea, jos reagenssipitoisuudet ovat suurimmat, kapenevat pois, koska reagenssit ovat ehtyneet.Radiaalisen sekoittumisen puute PFR: issä takaa, että kaikki reagenssin molekyylit altistetaan tasaisesti katalyyttille tai reaktio-olosuhteille, estäen paikallisia variaatioita, jotka voivat johtaa sivureaktioihin tai ei-toivottujen sivutuotteiden muodostumiseen.Tämä tasainen valotus parantaa selektiivisyyttä halutun tuotteen suhteen, koska se vähentää kilpailevien reaktioiden mahdollisuuksia, jotka tapahtuvat vaihtelevissa pitoisuusolosuhteissa.Ylläpitämällä hallitun ympäristön ja estämällä poikkeamat reagenssipitoisuuksissa, PFR: t tarjoavat paremman hallinnan reaktioreitteihin, maksimoimalla saannon ja tuotteen puhtauden.
Jatkuvan sekoitettujen säiliöreaktorin (CSTR) ja pistokevirtausreaktorin (PFR) välillä valinta riippuu kemiallisen prosessin erityistarpeista.Näillä kahdella reaktorityypillä on erilliset toimintaperiaatteet ja ne sopivat erilaisille reaktiokinetiikoille.Niiden erojen ymmärtäminen auttaa valitsemaan tehokkaimman reaktorin tietylle sovellukselle.
CSTRS (jatkuvat sekoitettujen säiliöreaktorit) on suunniteltu saavuttamaan ja ylläpitämään ihanteellisia sekoitusolosuhteita varmistaen, että pitoisuus, lämpötila ja paine pysyvät tasaisena koko reaktorin tilavuudessa.Tämä tarkoittaa, että kaikki järjestelmään tulevat reagenssit ovat välittömästi ja täysin sekoitettuja jo sisäpuolella olevien sisällön kanssa, mikä johtaa aina homogeeniseen seokseen.Tämän hyvin sekoituneen luonteen takia reaktorilta poistuvalla lähtövirralla on identtinen koostumus kuin sisäinen reaktioseos, joka varmistaa vakaan tilan toiminnan.Tämä ominaisuus on hyödyllinen reaktioille, jotka vaativat vakaat käyttöolosuhteet, koska se mahdollistaa reaktioparametrien tarkan hallinnan.Hyvin sekoitettu ympäristö yksinkertaistaa kineettistä mallintamista, koska reaktionopeudet pysyvät yhdenmukaisina reaktorin välillä.Tämä ennustettavuus on edullinen eksotermisille reaktioille, jotka aiheuttavat lämpötilan, koska tehokas lämmön hajoaminen koko reaktorissa minimoi paikallisten kuumien pisteiden todennäköisyyden.Seurauksena on, että CSTRS: ää käytetään yleisesti laaja-alaisissa teollisuussovelluksissa, joissa valvotun ja tasaisen reaktioympäristön ylläpitäminen tarvitaan sekä turvallisuuteen että tehokkuuteen.

Kuva 5. Ihanteellisen sekoittumisen vertailu vs. segmentoitu virtaus reaktoreissa
Sitä vastoin PFR: t (pistokevirtausreaktorit) toimivat segmentoidun tai pistokevirtausjärjestelmän alla, jossa yksittäiset nesteelementit tai pistokkeet liikkuvat peräkkäin reaktorin läpi sekoittamatta sivusuunnassa toisiinsa.Tämä virtauskuvio muodostaa pitoisuusgradientin reaktorin pituuden pitkin, mikä tarkoittaa, että reagenssipitoisuudet ovat korkeimmat sisääntulossa ja vähenevät asteittain, kun ne kulutetaan reaktiossa, kun taas tuotepitoisuudet kasvavat ulostuloa kohti.Koska jokainen pistoke säilyttää selkeän kemiallisen koostumuksensa koko matkansa ajan, reaktio etenee kontrolloidulla ja ennustettavissa olevalla tavalla reaktorin aksiaalisuunnassa.Toisin kuin CSTRS, joka olettaa hetkellisen sekoituksen, PFR: t mahdollistavat reagenssien asteittaisen muutoksen tuotteiksi, jäljittelemällä eräreaktorien käyttäytymistä, mutta jatkuvasti.Tämä virtauskäyttäytyminen on hyödyllinen reaktioissa, joissa selkäosoituksen minimointi on välttämätöntä korkean muuntamisen tehokkuuden saavuttamiseksi.Täydellisen sekoituksen puuttuminen varmistaa, että reagenssit viettävät määritellyn ajan reaktorissa, jolloin reaktorit voivat suunnitella reaktoreita optimoiduilla viipymisaikoilla tietyille reaktioille.
PFR: ien segmentoidut virtausominaisuudet tarjoavat etuja reaktioille, jotka vaativat reaktiokinetiikan ja tuotteen selektiivisyyden tarkkaa hallintaa.Estämällä välilajien laimentamisen sekoittamalla, PFR: t mahdollistavat reaktioreittien paremman manipuloinnin selektiivisyyden optimoimiseksi ja ei-toivottujen sivutuotteiden muodostumisen minimoimiseksi.Tämä on tärkeää aloilla, kuten petrokemikaalit ja lääkkeet, joissa lopputuotteen puhtaus on keskeinen huolenaihe.Kyky ylläpitää erillisiä kemiallisia koostumuksia kussakin pistokkeessa mahdollistaa katalyyttien tehokkaamman käytön, koska reagenssit kohtaavat optimaaliset olosuhteet koko niiden etenemisen ajan.Vaikka CSTR: t tarjoavat vakaan tilan toiminnan ja helppokäyttöisen hallinnan edun, PFR: t soveltuvat paremmin skenaarioihin, joissa muuntamisen maksimointi ja tiukan kineettisen hallinnan ylläpitäminen ovat prioriteetteja.Valinta CSTR: n ja PFR: n välillä riippuu reaktion erityisvaatimuksista, mukaan lukien tekijät, kuten haluttu tuotesanto, lämmönhallinta ja reaktio -aikarajoitukset.
Plug -virtausreaktorin (PFR) virtausdynamiikka voidaan ymmärtää käsitteellisesti sarjana erittäin ohuita, täydellisesti sekoitettuja jatkuvia sekoitettuja säiliöreaktoreita (CSTR), jotka on järjestetty peräkkäin reaktorin pituuteen.Jokainen näistä miniatyyri CSTR: stä varmistaa täydellisen sekoituksen säteittäiseen suuntaan säilyttäen samalla tiukka erotus aksiaalisuunnassa, mikä tarkoittaa, että eri segmenttien välillä ei ole taaksepäin sekoittumista.Tämä ainutlaatuinen ominaisuus mahdollistaa jatkuvan ja asteittaisen pitoisuusgradientin perustamisen, jossa reagenssipitoisuudet vähenevät tasaisesti, kun tuotepitoisuudet kasvavat reaktion edetessä sisääntulosta poistoon.Tämän suunnittelun takia PFR: t ohjaavat tehokkaasti kemiallisia reaktioita eteenpäin suuremmalla tehokkuudella varmistaen, että reagenssit läpikäyvät kontrolloidun muunnoksen tuotteiksi ilman, että riski sekoittaa reaktion edistymistä.Tämä segmentoitu virtausmalli on erittäin hyödyllinen kompleksireaktiokinetiikan tarkkaan simuloimiseksi, koska se sallii reaktionopeuden ennustamisen ja reaktorin mitat optimoimaan reagenssien ja tuotteiden ajasta riippuvan kehityksen perusteella.Kyky tarkasti hallita reaktio -olosuhteita reaktorin pituudella tekee PFR: stä hyödyllistä prosesseja, jotka vaativat erityisiä reaktiosekvenssejä, kuten sellaisia, jotka sisältävät useita reaktiovaiheita tai välituotteita, jotka tarvitsevat tarkan altistumisen reagensseille ennen siirtymistä seuraavaan vaiheeseen.
Toisaalta jatkuvia sekoitettuja säiliöreaktoreita (CSTRS) -funktiot täydellisen ja tasaisen sekoittumisen periaatteessa koko reaktorin koko tilavuuteen varmistaen, että kaikki reagenssimolekyylit jakautuvat tasaisesti ja altistuvat identtisiin reaktio -olosuhteisiin.Tämä täydellinen sekoittaminen johtaa kuitenkin laajaan viipymisajan jakautumiseen, mikä tarkoittaa, että kaikki reagenssimolekyylit eivät viettää yhtä paljon aikaa reaktorissa.Jotkut molekyylit saattavat poistua järjestelmästä liian aikaisin, ennen kuin he saavat täydellisen reaktion, kun taas toiset voivat pysyä reaktorissa pitkään, mikä mahdollisesti johtaa ylikuormitukseen tai ei -toivottuihin sivureaktioihin.Tämä viipymisajan vaihtelu voi vaikuttaa suoraan lopputuotteen johdonmukaisuuteen ja laatuun, mikä tekee CSTR: stä vähemmän ihanteellisia reaktioihin, jotka vaativat tarkkaa viipymisajanhallintaa tai korkeaa muuntamistehokkuutta.Teollisuussovelluksissa, joissa tarvitaan reaktion yhtenäisyyttä ja vakaan tilan toimintaa, CSTR: t ovat edelleen suosittu valinta niiden helppokäyttöisen ja kyvyn käsittelemisen vuoksi käsitellä laajamittaista jatkuvaa tuotantoa.Erittäin selektiivisille reaktioille tai useiden reaktiovaiheiden mukaan PFR: t tarjoavat kuitenkin usein paremman suorituskyvyn varmistamalla, että reagenssit seuraavat hyvin määriteltyä ja ennustettavissa olevaa reaktioreittiä ilman ennakoimattomuutta, joka liittyy CSTRS: n laajaan viipymisajan jakautumiseen.
Jatkuvat sekoitettujen säiliöreaktorit (CSTR) tarjoavat hyvin sekoituneen ja stabiilin reaktioympäristön, mikä tekee niistä edullisia kemiallisille prosesseille, jotka sisältävät hitaasti reaktiokinetiikkaa tai vaativat tarkan lämpösääntelyn.Koska reagenssipitoisuudet pysyvät vakiona koko reaktorissa jatkuvan sekoittamisen vuoksi, reaktionopeudet voidaan ylläpitää tasaisilla tasoilla, mikä varmistaa ennustettavan suorituskyvyn.Tämä on hyödyllistä reaktioissa, joissa yhdenmukaisen pitoisuusprofiilin ylläpitäminen on välttämätöntä reaktion etenemisen ylläpitämiseksi, samoin kuin tasapainon rajoitettuihin reaktioihin, joissa jatkuvaa reagenssin täydennystä on hyödyllistä.Jatkuva levottomuus CSTR: ssä helpottaa tehokasta lämmön jakautumista estäen paikalliset lämpötilan vaihtelut, jotka voivat muuten johtaa reaktion epävakauden tai ei -toivottujen sivureaktioiden kanssa.Ylläpitämällä tasaisia lämpöolosuhteita CSTR: t minimoivat eksotermisiin reaktioihin liittyvät riskit, kuten äkilliset lämpötilapiikat, jotka voivat vaarantaa turvallisuuden tai tuotteen laadun.Tämä kyky säätää lämpötilaa ja pitoisuutta korkealla tarkkuudella tekee CSTR: stä edullisen valinnan laajamittaisille teollisuusprosesseille tuotteiden tasaisuuden varmistamiseksi, sivureaktioiden minimoimiseksi ja operatiivisen turvallisuuden ylläpitämiseksi.
Sitä vastoin tulpan virtausreaktorit (PFR) tarjoavat selkeän edun kineettisen ohjauksen ja reaktion tehokkuuden suhteen prosesseille, jotka vaativat korkeaa selektiivisyyttä ja ennustettavissa olevia muuntamisnopeuksia.Reagenssien yksisuuntainen virtaus PFR: n kautta varmistaa, että jokainen molekyyli seuraa hyvin määriteltyä polkua reaktorin läpi, ja se kokee tasaista viipymisaikaa ilman selkänojaa tai ennenaikaista laimennusta.Tämä reagenssien kontrolloima eteneminen mahdollistaa reaktio -olosuhteiden tarkan manipuloinnin, mikä on tärkeää nopeissa, peruuttamattomissa reaktioissa, joissa reagenssien on suoritettava täydellinen muutos ennen reaktorin poistumista.Takahekoituksen puuttuminen mahdollistaa myös välituotteiden paremman hallinnan varmistaen, että reaktion jokainen vaihe tapahtuu optimaalisissa olosuhteissa selektiivisyyden maksimoimiseksi.Ylläpitämällä tasaista pitoisuusgradientia ja mahdollistaa tehokkaan reaktion etenemisen, PFR: t tarjoavat paremman suorituskyvyn prosesseille, jotka vaativat korkeaa muuntamistehokkuutta, mikä tekee niistä edullisen valinnan sovelluksille, joissa saannon ja tuotteiden puhtauden maksimoiminen on ensisijainen tavoite.
Jatkuvia sekoitettuja säiliöreaktoreita (CSTR) käytetään laajasti teollisuusprosesseissa jatkuvan sekoittamisen ja tasaisten reaktio -olosuhteiden ylläpitämiseksi.Yksi CSTRS: n yleisimmistä sovelluksista on käymisprosesseissa, joissa mikro -organismit tai entsyymit vaativat johdonmukaista ympäristöä optimaalisen aineenvaihdunnan aktiivisuuden ylläpitämiseksi.Jatkuva levottomuus varmistaa, että ravintoaineet, happi ja muut reagenssit jakautuvat tasaisesti koko järjestelmään estäen paikallista ehtymistä, joka voisi estää mikrobien kasvua tai entsymaattista tehokkuutta.CSTR: t ovat erittäin tehokkaita hyvin viskoosisten nesteiden käsittelemiseen, kuten polymerointireaktioissa kohdattua nestettä, jossa yhdenmukaisen levottomuuden ylläpitäminen on välttämätöntä johdonmukaisen molekyylipainon jakautumisen saavuttamiseksi ja paikallisen geelin muodostumisen estämiseksi.Niiden kyky tarjota tarkka lämpötilanhallinta on toinen avaintekijä heidän teollisessa hyödyllisyydessä, eksotermisille reaktioille, jotka vaativat tehokasta lämmön hajoamista lämpötilan estämiseksi.CSTR: n homogeeniset olosuhteet tekevät siitä ihanteellisen valinnan nestefaasireaktioille, kun tuotteiden laatu ja prosessien stabiilisuus ovat merkitystä.CSTRS: ään luottavat teollisuudenalat sisältävät lääkkeet, hienot kemikaalit, jätevesikäsittely sekä elintarvike- ja juomatuotanto, jossa reaktio -olosuhteiden johdonmukaisuus vaikuttaa suoraan tuotteiden suorituskykyyn ja sääntelyn noudattamiseen.
Pistokevirtausreaktorit (PFRS) puolestaan ovat edullinen valinta prosesseille, jotka vaativat korkeat muuntoprosentit, reaktiokinetiikan tarkan hallinnan ja minimaalisen selkänojan.Niiden suunnittelu tekee heistä hyvin sopivia kaasufaasireaktioihin, kuten ammoniakin, metanolin ja vedyn tuotannossa käytettyihin asioihin, joissa kontrolloidun pitoisuusgradientin ylläpitäminen on hienoa saannon optimointiin.PFR: llä on myös rooli katalyyttisessä halkeamisessa, mikä on keskeinen prosessi öljyteollisuudessa ja hajottaa suuret hiilivetymolekyylit arvokkaampiin tuotteisiin, kuten bensiiniin ja dieseliin.PFR: ien yksisuuntainen virtauskuvio tukee suurta reaktiotehokkuutta varmistamalla, että reagenssit läpikäyvät ennustettavan muutoksen, minimoimalla sivureaktiot ja parantavat selektiivisyyttä.PFR: t voidaan suunnitella pakattuina sängyn reaktoreina, joissa kiinteät katalyyttit tai jäsenneltyjä pakkausmateriaaleja parantavat massan ja lämmönsiirtoa, mikä tekee niistä ihanteellisia katalyyttisiin ja heterogeenisiin reaktioihin.Tämä sopeutumiskyky mahdollistaa PFR: ien käytön monissa kemiallisten tuotantoprosesseissa, mukaan lukien hapetusreaktiot, polymeerisynteesi ja erikoiskemiallinen valmistus.Heidän kykynsä saavuttaa korkea muuntamistehokkuus tarkalla kineettisellä kontrollilla tekee heistä suuren mittakaavan teollisuussovellusten ytimen, etenkin petrokemian, polymeerin ja erikoiskemiallisten aloilla.
Plug -virtausreaktorin (PFR) yhtälön johdannainen on tärkeä ymmärtää, kuinka PFR: t hallitsevat tehokkaasti kemiallisia reaktioita hallitsemalla tarkasti reaktiokinetiikkaa, lämpötilaa ja painetta.Tämä erittely selittää perusperiaatteet ja matemaattiset vaiheet, jotka liittyvät PFR -yhtälön muotoiluun tarjoamalla käsityksen siitä, kuinka nämä reaktorit saavuttavat korkeat muuntoprosentit ja selektiivisyyden.
PFR toimii jatkuvan ja tasaisen virtauksen periaatteessa.Reagenssit saapuvat toiseen päähän ja liikkuvat reaktorin läpi pistorasiallisella tavalla etenemällä tasaisesti kohti poistoa ilman selkänojaa tai säteittäistä dispersiota.Tämä virtauskuvio on samanlainen kuin sylinterin läpi liikkuva mäntä, jossa jokainen nesteen segmentti säilyttää kemiallisen identiteettinsä ja etenee samalla nopeudella.Tämä yhtenäinen liike varmistaa, että jokaisella reagenssin segmentillä on sama viipymisaika säilyttäen jatkuvat reaktio -olosuhteet.Tämä johdonmukaisuus on hyvä tarkkaan kineettiseen hallintaan, mikä tekee PFR: stä tehokasta monimutkaisia reaktioita, jotka vaativat tarkkaa ajoitusta ja pitoisuuden hallintaa.
PFR: n toiminta riippuu massan ja lämpötasapainon levittämisestä reaktorin differentiaalitilavuuden sisällä.Analysoimalla pienen nesteen viipaletta, kun se liikkuu reaktorin läpi, on mahdollista mallintaa kemiallinen kinetiikka ja ennustaa tuotteen jakauma tarkasti.Ihanteellisessa PFR: ssä selkäosoituksen ja säteittäisen dispersion puuttuminen pitää jokaisen nestesegmentin erillisenä säilyttäen sen kemiallisen historian.Tämä yksisuuntainen virtauskuvio luo pitoisuusgradientin reaktorin pituuden pitkin, reagenssipitoisuudet vähenevät, kun tuotepitoisuudet kasvavat.Tämä gradientti ajaa tehokkaasti kemiallista reaktiota eteenpäin.Massatasapainoa käytetään reagenssien kulutuksen ja tuotteiden muodostumisen seuraamiseen, kun taas lämpötasapaino vastaa reaktionopeuksista vaikuttavia lämpötilan muutoksia.Yksinkertaisuuden vuoksi johdannainen olettaa usein isotermiset olosuhteet keskittyen massatasapainoon ja reaktiokinetiikkaan ilman lämpötilan vaihteluiden monimutkaisuutta.
PFR -yhtälö on johdettu massatasapainosta reaktorin differentiaalitilavuudella.Isotermisissä olosuhteissa reaktiopitoisuuden muutosta reaktorin pituudella tasapainottaa reaktionopeus.Massatasapainoyhtälön differentiaalimuoto on:

Jossa:
𝐶𝑖 = Reagenssin pitoisuus 𝑖 asennossa 𝑥
𝑥 = Sijainti reaktorin pituudella
𝑟 = Reaktionopeus, joka riippuu reagenssipitoisuuksista ja kinetiikasta
𝑢 = Vakio nesteen nopeus
Tämä yhtälö osoittaa, että reagenssipitoisuuden muutos liittyy suoraan reaktorin läpi liikkuvan nesteen nopeuteen ja nesteen nopeuteen.Se tarjoaa tarkan esityksen reaktiokinetiikasta PFR: ssä.Tämän differentiaaliyhtälön ratkaisemiseksi raja -olosuhteet asetetaan reaktorin sisääntuloon, missä kunkin reagenssin alkupitoisuus on tiedossa:

Integraatio suoritetaan sisääntulosta (𝑥 = 0) poistoaukkoon (𝑥 = 𝐿), missä 𝐿 on reaktorin kokonaispituus.Yhtälön ratkaiseminen tämän pituuden yli antaa kunkin reagenssin pitoisuusprofiilin, kun se liikkuu reaktorin läpi.Tämä pitoisuusprofiili mahdollistaa poistumispitoisuuksien ja kokonaisreaktorin suorituskyvyn ennustamisen, mikä auttaa suunnittelemaan reaktoreita, jotka saavuttavat halutun tuotteen saannon ja selektiivisyyden.

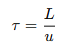
Ylläpitämällä jatkuvaa nopeutta, reaktori varmistaa, että kaikilla nestesegmenteillä on sama viipymisaika johdonmukaisten reaktio -olosuhteiden saavuttamiseksi.Keskimääräinen viipymisaika (𝜏), tärkeä suunnittelu- ja toimintaparametri, lasketaan:

Tämä arvo edustaa keskimääräistä aikaa, jonka reagenssi kuluttaa reaktorissa.Se on hyvä reaktorin suorituskyvyn virittämiseen, etenkin nopeaan reaktioon tai altistumisajalle herkkiä.Säätämällä 𝜏 voit optimoida muuntokurssit ja tuotteet.
Ensimmäisen asteen peruuttamaton reaktio tulpan virtausreaktorissa (PFR) sisältää yhden reagenssin hajoamisen tuotteeseen ilman mitään taaksepäin suuntautuvaa reaktiota.Tämä reaktiotyyppi on tärkeä kemiallisessa tekniikassa, koska se mallii monia hajotus- ja isomerointiprosesseja.Tässä esimerkissä reagenssi 𝐴 muunnetaan tuotteeksi 𝐵 ensimmäisen asteen kinetiikan jälkeen.Tässä osassa selitetään, kuinka PFR: n suunnittelu parantaa reaktion tehokkuutta ja selektiivisyyttä.
PFR: ssä reaktio on esitetty seuraavasti:
𝐴 → 𝐵
Tämä osoittaa, että reagenssi 𝐴 peruuttamattomasti muuttuu tuotteeksi 𝐵 ensimmäisen asteen kinetiikan mukaan, mikä tarkoittaa, että reaktionopeus on suoraan verrannollinen 𝐴: n pitoisuuteen.Tätä yksinkertaista mallia käytetään laajasti teollisissa kemiallisissa prosesseissa varmistaakseen 𝐴: n täydellisen muuntamisen 𝐵 oikeissa olosuhteissa.PFR: n jatkuva, yksisuuntainen virtaus ilman takaisinsekoitusta tarjoaa ihanteellisen ympäristön ensimmäisen asteen reaktioille.Jokainen reagenssin tulppa liikkuu reaktorin läpi vakiona nopeudella, ylläpitäen sen kemiallista identiteettiä ja kokee samat reaktio -olosuhteet.Tämä johdonmukaisuus tukee suurta muuntamistehokkuutta ja tarkkaa ohjausta tuotteiden selektiivisyyteen.Ensimmäisen kertaluvun peruuttamattoman reaktion hallintoyhtälö PFR: ssä on johdettu massatasapainosta differentiaalireaktorisegmentissä.Se ilmaistaan seuraavasti:

Jossa:
𝐶𝐴 = Reagenssin pitoisuus 𝐴 asennossa 𝑥
𝑥 = Sijainti reaktorin pituudella
𝑘 = Reaktionopeusvakio, mikä osoittaa reaktion nopeuden
𝑢 = Vakio nesteen nopeus reaktorin läpi
Tämä yhtälö osoittaa, että 𝐴: n pitoisuuden muutosnopeus reaktorin pituudella riippuu ensimmäisen asteen kinetiikasta, jossa negatiivinen merkki osoittaa 𝐴: n kulutuksen.PFR: n takaisinsekoituksen puuttuminen varmistaa, että jokainen differentiaalisegmentti käyttäytyy kuin pieni eräreaktori, yksinkertaistaen reaktion matemaattista mallintamista.𝐴: n pitoisuusprofiilin löytämiseksi reaktoria pitkin, differentiaaliyhtälö on integroitu rajaolosuhteisiin, joiden mukaan alkuperäisen pitoisuuden sisääntulossa tiedetään:

Ratkaisu differentiaaliyhtälöön on:

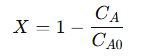
Tämä yhtälö kuvaa, kuinka 𝐴: n pitoisuus pienenee eksponentiaalisesti, kun se liikkuu reaktorin läpi.Tämän eksponentiaalisen rappeutumisen nopeus riippuu reaktionopeuden vakiosta (𝑘) ja nesteenopeudesta (𝑢).Tämä suhde osoittaa, kuinka reaktorin suunnitteluparametrit, kuten pituus (𝐿), virtausnopeus ja reaktionopeusvakio, vaikuttavat pitoisuusprofiiliin.Esimerkiksi reaktorin pituuden lisääminen tai virtausnopeuden vähentäminen tarjoaa enemmän viipymisaikaa, jolloin enemmän 𝐴 voi muuntaa 𝐵: ksi.Sitä vastoin korkeampi virtausnopeus vähentää kosketusaikaa, mikä johtaa alhaisempaan muuntamiseen.Reagenssin 𝐴 yleinen muuntamistehokkuus (𝑋) määritellään 𝐴: n osuutena, joka reagoi reaktorin pituuteen:

Jossa:
𝐿 = Reaktorin kokonaispituus
𝑋 = 𝐴: n muuntamistehokkuus
Tämä yhtälö osoittaa, että reaktorin pituuden (𝐿) tai nopeusvakion (𝑘) lisääminen parantaa muuntotehokkuutta, kun taas korkeampi nesteenopeus (𝑢) vähentää sitä.Tämä kaava kuvaa myös pistokevirtakuvion hyötyä: tasainen viipymisaika varmistaa, että kaikilla reagenssitulpaisilla on samat reaktio -olosuhteet, mikä johtaa ennustettavissa oleviin ja johdonmukaisiin muuntoasteisiin.
Toisen asteen peruuttamaton reaktio tulpan virtausreaktorissa (PFR) sisältää reaktionopeuden, joka riippuu reagenssin pitoisuuden neliöstä.Tämäntyyppinen reaktio on yleistä prosesseissa, kuten polymerointi ja dimeroituminen.Ymmärtäminen, kuinka PFR: t käsittelevät näitä reaktioitaPFR: ssä tyypillinen toisen asteen peruuttamaton reaktio sisältää kaksi reagenssin molekyyliä 𝐴 yhdistämällä tuotteen 𝐵 muodostamiseksi, esitettynä seuraavasti:
2a → b
Tämä reaktio on peruuttamaton, mikä tarkoittaa, että 𝐴 on muutettu 𝐵: ksi, se ei palauta.PFR: n jatkuva, tasainen virtauskuvio parantaa tätä muuntamista ylläpitämällä tasaista nopeutta ja viipymisaikaa koko reaktorissa.Tämä malli varmistaa, että jokainen reagenssin tulppa kokee samat reaktio -olosuhteet maksimoimalla muuntamistehokkuuden.Tämän reaktion hallintoyhtälö on johdettu massatasapainosta reaktorin pienessä segmentissä olettaen, ettei selkä- tai säteittäistä dispersiota:

Jossa:
𝐶𝐴 = Reagenssin pitoisuus 𝐴 asennossa 𝑥
𝑥 = Sijainti reaktorin pituudella
𝑘 = Nopeusvakio, mikä osoittaa reaktionopeuden
𝑢 = Vakio nesteen nopeus
Kahden tekijä vastaa stökiometriaa, jossa kahta moolia 𝐴 kulutetaan muodostamaan yksi mooli 𝐵.
Tämä yhtälö osoittaa, että 𝐴: n pitoisuuden muutosnopeus on verrannollinen sen nykyisen pitoisuuden neliöön, toisen asteen kinetiikan tunnusmerkki.Tämä johtaa 𝐴: n nopeaan vähentymiseen reaktion edetessä, etenkin korkeissa pitoisuuksissa.It: n pitoisuusprofiilin löytämiseksi reaktoria pitkin, differentiaaliyhtälö on integroitu sisääntulosta, jossa alkuperäinen pitoisuus on 𝐶𝐴0, mihin tahansa pisteeseen 𝑥 reaktoria pitkin:

Tämä ratkaisu osoittaa, että 𝐴: n pitoisuus vähenee hyperbolisesti, toisin kuin ensimmäisen kertaluvun reaktioissa havaittu eksponentiaalinen rappeutuminen.Tämän laskun nopeus riippuu reaktionopeuden vakiosta (𝑘), reaktorin pituudesta (𝑥) ja nesteenopeudesta (𝑢).Tämä suhde korostaa operatiivisten parametrien vaikutusta reagenssipitoisuuteen ja kokonaismuutoksen tehokkuuteen.Esimerkiksi:
• Reaktorin pituuden (𝑥) tai nopeusvakion (𝑘) lisääminen parantaa muuntamista tarjoamalla enemmän aikaa tai kiihdyttämällä reaktiota.
• Suurempi nesteenopeus (𝑢) vähentää viipymisaikaa, mikä johtaa alhaisempaan muuntamiseen.
Tämä malli auttaa ennustamaan, kuinka reaktorisuunnittelun ja käyttöolosuhteiden säädöt vaikuttavat tuotteiden satoon ja selektiivisyyteen.
Reagenssin 𝐴 yleinen muuntamistehokkuus (𝑋) lasketaan tuotteen 𝐴 𝐴: n osuutena 𝐵 𝐵 pitkin reaktorin pituutta:

Integroidun pitoisuusprofiilin korvaaminen antaa:

Jossa:
𝐿 = Reaktorin kokonaispituus
𝐶𝐴0 = Alkuperäinen pitoisuus 𝐴
𝑋 = 𝐴: n muuntamistehokkuus
Tämä yhtälö osoittaa, että muuntamistehokkuus kasvaa:
• Pidempi reaktorin pituus (𝐿), mikä lisää viipymisaikaa.
• Suurempi alkupitoisuus (𝐶𝐴0), mikä lisää reaktionopeutta.
• Suurempi nopeusvakio (𝑘), joka nopeuttaa reaktiota.
Päinvastoin, korkeampi nesteenopeus (𝑢) vähentää muuntamista vähentämällä reagensseja reaktorissa kuluttavia aikatauluja.Nämä oivallukset mahdollistavat reaktorin suorituskyvyn optimoinnin säätämällä virtausnopeuksia, reaktorin pituutta ja käyttölämpötiloja (jotka vaikuttavat 𝑘).
Toisen asteen peruuttamattoman reaktiokäyttäytymisen ymmärtäminen on hyvä tulpan virtausreaktorien (PFR) suunnittelussa tuotteen saannon maksimoimiseksi minimoimalla reagenssijätteet.Koska reaktionopeudet toisen asteen kinetiikassa riippuvat kahden reagenssin konsentraatiosta, reaktoriparametrien optimointi voi vaikuttaa kokonaismuunnostehokkuuteen.Yksi avainkerroin, joka vaikuttaa muuntamiseen, on reaktorin pituus pidentämällä PFR: n pituutta, reagensseilla on pidempi viipymisaika, jolloin reaktio etenee kauempana kohti valmistumista ennen järjestelmän poistumista.Samoin virtausnopeuden vähentäminen lisää viipymisaikaa, mikä tarjoaa enemmän mahdollisuuksia reagenssille olla vuorovaikutuksessa ja muodostaa haluttuja tuotteita.Toinen parametri on lämpötila, joka vaikuttaa suoraan reaktionopeuden vakioon (𝑘).Lämpötilan nostaminen nostaa nopeutta vakiona, mikä kiihdyttää reaktiota ja parantaa muuntamistehokkuutta.Sinun on kuitenkin tasapainotettava lämpötilan säädöt huolellisesti, jotta vältetään herkkien yhdisteiden ei -toivotut sivureaktiot tai lämmön hajoaminen.Nämä periaatteet mahdollistavat reaktio-olosuhteiden tarkan hallinnan, jolloin teollisuus voi hienosäätää PFR-operaatioita tietyille tuotantotavoitteille.
Kyky hallita toisen asteen reaktiokinetiikkaa tarkkuudella on edullinen toimialoilla, joilla tuotteiden laatu, johdonmukaisuus ja tehokkuus ovat suuria.Esimerkiksi polymerointiprosesseissa optimaalisten monomeerikonsentraatioiden ylläpitäminen koko reaktorissa varmistaa, että polymeerit saavuttavat yhdenmukaiset molekyylipainon jakautumisen ja toivotut fysikaaliset ominaisuudet.Jopa pienet pitoisuus- tai reaktio -olosuhteiden vaihtelut voivat johtaa epäjohdonmukaisuuksiin polymeerirakenteessa, mikä vaikuttaa materiaalin lujuuteen, joustavuuteen tai kestävyyteen.Samoin hienossa kemiallisessa ja farmaseuttisessa valmistuksessa reaktion selektiivisyys ja puhtaus ovat hienoja tuotteiden tehokkuuden ja turvallisuuden varmistamiseksi.
Massatasapainon analysointi tulpan virtausreaktorissa (PFR) vakaan tilan olosuhteissa on hyvä ymmärtää sen tehokkuus ja suorituskyvyn optimointi eri kemiallisissa prosesseissa.PFR: ssä reagenssit virtaavat jatkuvasti ja tasaisesti sisääntulosta poistoaukkoon ilman selkänojaa tai säteittäistä dispersiota.Tämä johdonmukainen virtauskuvio mahdollistaa tarkan hallinnan reagenssipitoisuuksien ja reaktionopeuksien suhteen, mikä tekee PFR: t erittäin tehokkaita kompleksisten kemiallisten reaktioiden suhteen.
Plug -virtausreaktorissa (PFR) reagenssien liikkuminen seuraa tasaista, yksisuuntaista polkua varmistaen, että jokainen yksittäinen nesteelementti säilyttää kemiallisen identiteettinsä ja reaktiohistoriansa edetessä reaktorin läpi.Toisin kuin sekoittumista edistävät reaktorit, kuten jatkuvat sekoitettujen säiliöiden reaktorit (CSTRS), PFR toimii periaatteessa, että jokainen nesteen segmentti pysyy erillisinä, estäen sivuttaissekoituksen vierekkäisten segmenttien kanssa.Tämä ominaisuus tarkoittaa, että reagenssipitoisuudet ja reaktioprosentit vaihtelevat jatkuvasti reaktorin pituutta pitkin sen sijaan, että keskiarvoa on turbulentti sekoittuminen.Tämän plug-tyyppisen liikkeen takia reagenssit läpikäyvät hyvin määritellyt olosuhteet jokaisessa reaktorin pisteessä, mikä mahdollistaa kontrolloitumman ja ennustettavan muutoksen reagensseista tuotteisiin.Tuloksena olevilla pitoisuuksilla ja lämpötilagradienteilla reaktorin pituudella on merkitys reaktiokinetiikan ja prosessin yleisen tehokkuuden hallinnassa.
PFR: n virtauksen tasainen ja ennustettavissa oleva luonne tarjoaa selkeät edut, etenkin reaktioille, jotka ovat erittäin herkkiä pitoisuuden tai lämpötilan vaihteluille.Eliminoimalla takaisinsekoittaminen reaktori varmistaa, että kunkin reagenssimolekyylin viipymisaika on tarkasti hallittu, mikä mahdollistaa tarkempia ennusteita reaktion etenemisestä ja tuotteiden muodostumisesta.Tämä ominaisuus on hyödyllinen tuotteiden selektiivisyyden optimoinnissa, koska tietyt reaktiot voivat suositella tiettyjä olosuhteita, joita voidaan ylläpitää huolellisesti koko reaktorin pituuden ajan.Sisäisen sekoituksen puuttuminen yksinkertaistaa matemaattista mallintamista, mikä helpottaa kineettisten mallien ja suunnittelureaktorien kehittämistä maksimaalisen tehokkuuden saavuttamiseksi.Tämä virtaviivainen lähestymistapa reaktiotekniikkaan ei vain parantaa suorituskykyä, vaan myös vähentää prosessien skaalausprosesseihin liittyvää monimutkaisuutta.
PFR: n massatasapainoyhtälö johdetaan analysoimalla reaktorin pieni differentiaalitilavuus (𝑑𝑉).Tämä lähestymistapa harkitsee reagenssin virtausta 𝐴 tähän tilavuuteen ja pois tästä tilavuudesta sekä sen reagointinopeuden kanssa.Vakaan tilan olosuhteissa 𝐴 𝐴: n sisällä ei ole kertymistä 𝑑𝑉: n sisällä, mikä tarkoittaa, että virtausnopeus on yhtä suuri kuin reaktion kuluttama määrän oikaisu.Yleinen massatasapainoyhtälö on:

Jossa:
𝐹𝐴, 𝑖 = Reagenssin molaarinen virtausnopeus 𝐴 Eroainetilavuuteen pääsy
𝐹𝐴, 𝑜 = Molaarinen virtausnopeus 𝐴 poistuu differentiaalitilavuudesta
𝑟'𝐴 = Reaktionopeus yksikkötilavuuskohtaa kohti 𝐴: lle
𝑑𝑉 = Differentiaalinen tilavuuselementti
Tämä yhtälö osoittaa, että 𝐴: n virtausnopeuden lasku johtuu sen kulutuksesta tilavuuden 𝑑𝑉 sisällä.Koska takaisinsekoitusta ei ole, jokainen reagenssitulppa säilyttää pitoisuutensa liikkuessaan eteenpäin pitäen pistokevirtakuviota.
Poistoaukon molaarisen virtausnopeuden yhdistämiseksi sisääntulon virtausnopeuteen käytetään jatkuvuusyhtälöä:

Tämän korvaaminen massatasapainoyhtälöön antaa:

Tämä osoittaa, että molaarisen virtausnopeuden muutos 𝐴 on suoraan verrannollinen reaktionopeuteen.Negatiivinen merkki osoittaa 𝐴: n kulutuksen, kun se muunnetaan tuotteiksi.Tämä suhde korostaa, kuinka reaktionopeus vaikuttaa 𝐴: n pitoisuusprofiiliin reaktorin pituuden pitkin.Tämän differentiaaliyhtälön integrointi reaktorin pituuteen antaa yleisen ekspression reaktionopeudelle 𝐴:

Tämä osoittaa, että reaktionopeus on verrannollinen molaarisen virtausnopeuden muutokseen 𝐴 reaktoria pitkin.Negatiivinen merkki heijastaa 𝐴: n laskua, koska se reagoi tuotteisiin.Tämä massatasapainoyhtälön integroitu muoto mahdollistaa 𝐴: n pitoisuusprofiilin laskemisen koko reaktorissa, mikä mahdollistaa tuotteiden saannon tarkkojen ennusteiden ja kokonaismuutostehokkuuden.
Monimutkaisempien reaktioiden, kuten bimolekyylireaktion 𝐴+𝐵 → 𝐶+𝐷, massatasapainoyhtälöt voidaan laajentaa kaikkiin reagenssien ja tuotteiden huomioon ottamiseksi.Jokaiselle lajille differentiaaliyhtälöt ovat:
• Reagenssille 𝐴:

• Reagenssille 𝐵:

• Tuote 𝐶:

• Tuote 𝐷:

Negatiiviset merkit osoittavat reagenssien kulutuksen, kun taas positiiviset merkit osoittavat tuotteiden muodostumista.Nämä yhtälöt tarjoavat täydellisen massatasapainon monimutkaisille reaktioverkoille, mikä mahdollistaa reaktiokinetiikan ja tuotteiden jakauman tarkan mallinnuksen.
Pistokevirtausreaktorissa (PFR) olettaen, että mitään tilavuusvirtauksen vaihtelua yksinkertaistaa kemiallisten reaktioiden matemaattista mallintamista.Tämä oletus on hyödyllinen kaasufaasireaktioissa vakiona lämpötilassa ja paineessa (isotermiset ja isobariset olosuhteet) ja nestefaasireaktioissa, joissa nestetiheys pysyy vakiona.Ylläpitämällä tasaista virtausnopeutta koko reaktorissa, laskelmat reaktiokinetiikasta, muuntamistehokkuudesta ja tuotteiden jakautumisesta muuttuvat suoraviivaisemmiksi ja luotettavammiksi.
Olettaen, että tilavuusvirtausnopeus (𝑄) pysyy vakiona koko PFR: n ajan yksinkertaistaa kemiallisten reaktioiden analysointia.Tämä vakiovirta varmistaa, että nesteenopeus on tasainen koko reaktorin pituudella, mikä johtaa jatkuvasti kaikkien nesteen elementtien viipymisaikoihin.Tämä yhtenäisyys on hyvä tulpan virtauskuvion ylläpitämiseen, jossa kukin nesteen segmentti liikkuu eteenpäin männän tavoin ilman selkänojaa tai säteittäistä dispersiota.
Tämä tasainen virtauskuvio varmistaa, että reagenssipitoisuuksissa tapahtuvat muutokset tapahtuvat vain aksiaalisuunnassa, johtaen tehokkaasti kemiallista reaktiota eteenpäin.Se säilyttää myös kunkin nestesegmentin kemiallisen identiteetin, mikä mahdollistaa reaktio -olosuhteiden ja kinetiikan tarkan hallinnan.Tämä on edullista reaktioille, jotka vaativat tarkkaa viipymisaikaa ja lämpötilan hallintaa.Vakion volyymivirtauksen olettamuksella virtausnopeus missä tahansa reaktorin pisteessä pysyy samana sisääntulosta poistoaukkoon:
Q i = qo = q
Tämä vakaan tilan tila tarkoittaa, että virtausparametrit ovat yhdenmukaisia koko reaktorin pituuden ajan, yksinkertaistaen massatasapainoyhtälöä.Sen avulla analyysi voi keskittyä molaarisiin virtausnopeuksiin ja reagenssien ja tuotteiden pitoisuuden muutoksiin ottamatta huomioon nopeuden tai tilavuuden vaihtelua.Reagenssin molaarinen virtausnopeus 𝐴 missä tahansa asennossa 𝑥 reaktoria pitkin annetaan:

Missä:
𝐹𝐴, 𝑖 = Molaarinen virtausnopeus 𝐴: n syöttämisen tilavuuselementtiin 𝑑𝑉
[A] i = 𝐴: n pitoisuus asennossa 𝑥
𝑄 = Vakio tilavuusvirtaus
Tämä yhtälö yhdistää reagenssin 𝐴 molaarisen virtausnopeuden sen pitoisuuteen ja tilavuuteen virtausnopeuteen.Koska 𝑄 on vakio, muutokset 𝐹𝐴: ssä, 𝑖 liittyvät suoraan [𝐴] 𝑖: n muutoksiin.Reagenssin 𝐴 reaktionopeus 𝐴, joka on merkitty 𝑟'𝐴: llä, kuvaa nopeutta, jolla 𝐴 kulutetaan reaktorin pituuteen.Se lasketaan käyttämällä molaarisen virtausnopeuden differentiaalista muutosta:

Negatiivinen merkki osoittaa reagenssin kulutuksen 𝐴, koska se muuttuu tuotteiksi.Tämä suhde osoittaa, että reaktionopeus on suoraan verrannollinen pitoisuusgradienttiin reaktoria pitkin.Koska 𝑄 on vakio, konsentraatio muuttuu vain aksiaalisuunnassa varmistaen, että reaktio etenee sujuvasti sisääntulosta poistoon.Tämä yksisuuntainen virtauskuvio auttaa ylläpitämään tasaisia reaktioolosuhteita, mikä johtaa ennustettaviin tuotteiden saantoihin ja korkeaan muuntamistehokkuuteen.Integroimalla tämä differentiaaliyhtälö reaktorin pituuteen, on mahdollista laskea, kuinka 𝐴: n pitoisuus muuttuu sisääntulosta poistoaukkoon:

Tämä integraatio tarjoaa pitoisuusprofiilin 𝐴: n pitkin reaktoria, paljastaen kuinka paljon reagenssia kulutetaan ja kuinka paljon tuotetta muodostuu.Se näyttää myös reaktorin suunnitteluparametrien, kuten pituuden, virtausnopeuden ja reaktionopeuden vakion, vaikutuksen muuntotehokkuuteen ja tuotteiden jakautumiseen.Matemaattisten mallien pitäminen yksinkertaisten tarkoittaa vähemmän muuttujia, mikä helpottaa laskelmia ja simulaatioita nopeammin.Tarkat pitoisuusennusteet auttavat suunnittelureaktoreita maksimaalisen tehokkuuden ja selektiivisyyden saavuttamisessa varmistaen optimaalisen suorituskyvyn.Johdonmukaiset viipymisajat ja virtausnopeudet mahdollistavat tarkan prosessin hallinnan, mikä johtaa luotettavaan tuotteen laatuun.Kaiken kaikkiaan olettaen, että PFRS: n tilavuusvirtausvaihtelu ei yksinkertaista kemiallisen reaktion mallintamista ylläpitäen tarkkuutta, mikä tekee siitä tärkeän työkalun tehokkaan reaktorin suunnitteluun ja toimintaan.
Pistokevirtausreaktoreita (PFR) käytetään laajasti kemiallisessa prosessoinnissa niiden ainutlaatuisen suunnittelun vuoksi, mikä varmistaa reagenssien jatkuvan ja tasaisen liikkeen.Tämä malli mahdollistaa reaktiokinetiikan ja viipymisaikojen tarkan hallinnan, mikä tekee PFR: istä erittäin tehokkaita monille kemiallisille prosesseille.Heillä on kuitenkin myös rajoituksia, jotka on harkittava hakemuksesta riippuen.Tässä osassa tarkastellaan PFR: ien etuja ja haittoja.
Pistokevirtausreaktorit (PFR) tunnetaan korkeasta muuntamistehokkuudestaan, mikä johtuu niiden ainutlaatuisista virtausominaisuuksista.Toisin kuin muut reaktorityypit, PFR: t varmistavat, että reagenssit liikkuvat yhteen suuntaan ilman mitään takaisinsekoitusta.Tämä tarkoittaa, että kun nesteelementti tulee reaktoriin, se virtaa edelleen eteenpäin sekoittamatta nesteen muiden osien kanssa.Tämän kontrolloidun liikkeen takia kemiallinen koostumus missä tahansa reaktorin pisteessä on edelleen erillinen ja ennustettavissa.Tämän tasaisen virtauksen yksi tärkeä etu on, että se minimoi viipymisajan jakauman, mikä tarkoittaa, että kaikki reagenssihiukkaset viettävät yhtä paljon aikaa reaktorin sisällä.Seurauksena reaktio tapahtuu tasaisesti koko reaktorin koko pituudessa, mikä parantaa tehokkuutta ja tekee PFR: istä hyödyllisiä prosesseissa, jotka vaativat tiukkaa reaktio -olosuhteiden hallintaa.
Toinen syy PFR: ien korkeaan muuntamistehokkuuteen on niiden kyky ylläpitää vakaa pitoisuusgradientti koko reaktorissa.Koska reagensseja kulutetaan jatkuvasti edetessä reaktorin läpi, pitoisuus vähenee vähitellen virtausreittiä pitkin, mikä voi auttaa ohjaamaan reaktioita valmistumiseen tehokkaammin.Tämä tekee PFR: stä tehokkaampia kuin jatkuvan sekoitettujen säiliöreaktorit (CSTR), joissa jatkuva sekoitus voi johtaa pitoisuuden vaihteluihin, jotka voivat vähentää reaktiotehokkuutta.Reaktioissa, jotka ovat erittäin herkkiä pitoisuusmuutoksille tai vaativat tarkkaa ajoitusta, PFR: t tarjoavat etua.Varmistamalla yhtenäisen reaktioympäristön, ne auttavat optimoimaan reaktioprosentit, minimoimaan ei -toivotut sivutuotteet ja maksimoimaan tuotteen saanto.
Plug -virtausreaktoreiden jäsennelty virtaus varmistaa, että reagenssit altistuvat jatkuvasti samoille reaktio -olosuhteille kuin ne liikkuvat reaktorin läpi.Tällä tasaisella ja yhtenäisellä altistumisella on merkitys ei-toivottujen sivutuotteiden muodostumisen minimoinnissa, mikä voi vaikuttaa negatiivisesti reaktion tehokkuuteen.Vähentämällä näitä ei -toivottuja sivureaktioita, PFR: t auttavat parantamaan reaktion yleistä selektiivisyyttä, mikä tekee niistä hyödyllisiä kemiallisissa prosesseissa, jotka vaativat suurta tarkkuutta.Tämä on tärkeää toimialoilla, joilla jopa pienet kemiallisen koostumuksen vaihtelut voivat johtaa tuotteiden suorituskyvyn eroihin, kuten erikoiskemikaalien ja lääketuotteiden valmistuksessa.Koska jokainen reagenssin tulppa liikkuu samalla nopeudella ja kokee identtiset reaktio -olosuhteet, reaktio etenee kontrolloidulla ja ennustettavissa olevalla tavalla.Tämä konsistenssitaso varmistaa, että haluttu kemiallinen muuntaminen tapahtuu suunnitellulla tavalla, mikä johtaa kohdetuotteen suurempaan satoon minimoimalla tarve lisäpuhdistusvaiheisiin.
PFR: ien kyky tarjota yhtenäinen reaktioympäristö edistää suoraan tuotteiden johdonmukaisuutta ja parannetun reaktiotehokkuuden.Koska jokaisella reagenssivirran osalla seuraa samaa reittiä ja käy läpi samat reaktio -olosuhteet, lopputuotteella on luotettavia ja toistettavia ominaisuuksia.Tämä on hyödyllistä prosesseille, joissa tiukan laadunvalvonnan ylläpitäminen on tärkeää, koska jopa pienet lämpötilan, paine- tai reagenssipitoisuuden vaihtelut voivat muuttaa lopputulosta.PFRS: n korkea selektiivisyysaste tekee niistä ihanteellisia reaktioihin, joihin liittyy herkkiä välilaitteita, joissa on tarpeen reaktiokinetiikan tarkka hallinta.Lisäksi, koska PFR: t toimivat jatkuvalla virtauksella, ne voidaan helposti skaalata teollisiin sovelluksiin vaarantamatta reaktiotehokkuutta.Tämä skaalautuvuus yhdistettynä niiden kykyyn parantaa reaktion selektiivisyyttä, tekee PFR: stä edullisen valinnan monille kemiallisille tuotantoprosesseille varmistaen johdonmukaisen, korkealaatuisen tuotoksen useissa sovelluksissa.
Pistokevirtausreaktorit (PFR) toimivat jatkuvasti, mikä tarkoittaa, että niitä ei tarvitse pysäyttää ja käynnistää uudelleen usein.Tämä jatkuva toiminta vähentää seisokkeja, mikä mahdollistaa korkeamman tuotantoasteen ja parantuneen tehokkuuden kemiallisessa prosessoinnissa.Koska PFR: t eivät vaadi mekaanista sekoitusta, ne kuluttavat vähemmän energiaa verrattuna muihin reaktorityyppeihin, jotka luottavat osien liikkumiseen reagenssien sekoittamiseen.Pienempi energiankulutus johtaa alennettuihin toimintakustannuksiin, mikä tekee PFR: stä kustannustehokkaan valinnan laaja-alaiseen tuotantoon.Niiden kyky ylläpitää vakaan tilan toimintaa varmistaa, että kemialliset reaktiot etenevät ennustettavissa olevalla tavalla edistäen prosessin vakautta.Liikkuvien komponenttien puuttuminen vähentää myös ylläpitotarpeita, minimoimalla odottamattomat hajoamiset ja parantavat yleistä luotettavuutta.Näiden etujen takia PFR: ää käytetään laajasti toimialoilla, jotka vaativat johdonmukaista, korkean suorituskyvyn kemiallista prosessointia pitäen energiankulutuksen ja käyttökustannukset mahdollisimman alhaisina.
Toinen PFRS: n merkittävä etu on niiden helppo skaalaaminen laboratoriokokeista täyteen teollisuustuotantoon.Koska reaktio -olosuhteet pysyvät yhtenäisinä reaktorin koko pituudella, tuotantokapasiteetin lisääminen voidaan saavuttaa yksinkertaisesti laajentamalla reaktorin pituutta tai käyttämällä useita rinnakkaisia putkia.Tämä skaalautuvuus varmistaa, että kemialliset valmistajat voivat laajentaa toimintaansa ilman merkittäviä muutoksia reaktorisuunnitteluun.Ennustettava virtauskuvio PFR: ssä helpottaa myös reaktiomuuttujien hallitsemista, mikä varmistaa johdonmukaisen tuotteen laadun eri tuotantoasteikoilla.Koska jokainen reagenssien osa liikkuu reaktorin läpi ilman selkänojaa, reaktioprosessi pysyy vakaana ja tasaisena.Tämä ominaisuus yksinkertaistaa prosessien optimointia ja mahdollistaa reaktion tehokkuuden paremman hallinnan.Seurauksena on, että teollisuus, joka vaatii tarkkaa kemiallisten reaktioiden hallintaa, valitsevat usein PFR: t kyvystään ylläpitää johdonmukaisuutta ja luotettavuutta sekä pienissä että suurissa asteikoissa.
Pistotulpan virtaus auttaa siirtämään lämpöä ja massaa tehokkaasti, mikä pitää reaktiot vakaina, etenkin prosesseissa, jotka vapauttavat tai absorboivat paljon lämpöä.Koska selkänoja ei ole sekoittumista, lämpö leviää tasaisesti reaktorin läpi estäen liian kuumia tai liian kylmiä alueita.Tämä jopa lämmönjakauma pitää reaktionopeudet tasaisena ja ylläpitää hyvää tuotteen laatua.Jos lämpö olisi epätasaista, se voi aiheuttaa ongelmia, kuten hitaita reaktioita tai ei -toivottuja sivutuotteita.Pitämällä lämpötila vakaana, tulpan virtausmalli parantaa myös turvallisuutta vähentäen vaarallisen ylikuumenemisen riskiä reaktioissa, jotka vapauttavat paljon lämpöä.Koska reaktio pysyy hallinnassa, se sujuu sujuvammin ja tehokkaammin, mikä johtaa parempiin tuloksiin.Tämä malli varmistaa myös, että reaktio seuraa tasaista ja ennustettavissa olevaa polkua, mikä parantaa tehokkuutta ja pitää tuotteen puhtaana.Kun reagenssit liikkuvat reaktorin läpi, ne kaikki käyvät läpi samat olosuhteet sekoittamatta muiden osien kanssa.Tämä mahdollistaa prosessin paremman hallinnan ja varmistaa, että reaktio tapahtuu odotetusti.Tämän vuoksi tehdään vähemmän ei -toivottuja sivutuotteita ja enemmän halutusta tuotteesta.Plug Flow -suunnittelun kyky siirtää lämpöä hyvin, ylläpitää vakaita lämpötiloja ja pitää reaktiot hallittuina, tekee siitä erittäin hyödyllisen teollisuusprosesseissa, joissa laatu ja tehokkuus ovat tärkeitä.
Pistotulpan virtausreaktorit (PFR) ovat erittäin hyödyllisiä, koska ne voivat käsitellä monen tyyppisiä kemiallisia reaktioita.Ne toimivat hyvin nopeiden reaktioiden, peruuttamattomien reaktioiden ja kaasufaasireaktioiden suhteen, koska reagenssit liikkuvat tasaisesti reaktorin läpi tasaisessa virtauksessa.PFR: t ovat myös hienoja reaktioihin, joissa käytetään kiinteitä katalyyttejä, koska tasainen virtaus varmistaa, että kaikki reagenssit saavat saman altistumisen katalyyttille.Tämä auttaa kemiallisia reaktioita tapahtumaan tehokkaammin ja antaa johdonmukaisempia tuloksia.Näiden etujen takia PFR: ää käytetään laajasti petrokemikaalien ja lääkkeiden kaltaisilla teollisuudenaloilla, joissa korkealaatuisten tuotteiden valmistamiseksi tarvitaan tarkkoja reaktioiden hallintaa.Heidän kykynsä pitää reaktiot vakaina ja tehokkaina tekee niistä tärkeän työkalun monille kemiallisille prosesseille.PFR: t ovat myös erittäin hyödyllisiä polymeerien valmistuksessa, koska ne pitävät monomeeripitoisuudet tasaisena koko reaktion ajan.Tämä on tärkeää polymeerien tuottamisessa, joilla on yhtenäiset ominaisuudet, kuten yhdenmukainen lujuus ja kestävyys.PFR: n sileä virtaus vähentää pitoisuuden ja reaktioajan vaihtelut, mikä johtaa luotettavampaan lopputuotteeseen.Koska PFR: t toimivat jatkuvasti, ne voivat myös säästää aikaa ja parantaa tehokkuutta eräreaktoreihin verrattuna.Heidän kykynsä käsitellä erilaisia reaktioita tarkkuudella ja luotettavuudella tekee heistä arvokkaita monilla toimialoilla.Käytetäänkö katalyysiin, kaasufaasireaktioihin tai polymeerien tuotantoon, PFR: t tarjoavat luotettavan ja tehokkaan tavan hallita kemiallisia reaktioita ja ylläpitää tuotteiden laatua.
Pistokevirtausreaktorit (PFR) toimivat parhaiten kemiallisille reaktioille, jotka liikkuvat yhteen suuntaan ja joiden ei tarvitse kääntää tai saavuttaa tasapainoa.Ne ovat tehokkaimpia peruuttamattomissa reaktioissa, joissa reagenssit muuttuvat tuotteiksi palaamatta.Koska PFR: llä on tasainen virtaus, reagenssit liikkuvat eteenpäin sekoittamatta takaisin tuotteiden kanssa.Tämä asennus ei ole ihanteellinen reaktioille, joiden on saavutettava tasapaino, koska sekoittamisen puute estää reaktion sopeutumisen matkan varrella.Näissä tapauksissa PFR ei välttämättä salli reaktion saavuttaa täyden potentiaalinsa, mikä tekee siitä vähemmän tehokkaan tietyille kemiallisille prosesseille.Jotkut reaktiot vaativat enemmän aikaa ja sekoittamista parhaiden tulosten saamiseksi, mutta PFR: t eivät tarjoa tätä joustavuutta.Tämän vuoksi jotkut reaktiot eivät välttämättä ole täysin täydellisiä, mikä johtaa alhaisempaan tehokkuuteen.Reaktioissa, jotka tarvitsevat parempaa sekoittumista ja pidempiä reaktioaikoja, jatkuva sekoitettu säiliöreaktori (CSTR) tai muun tyyppinen reaktori voi toimia paremmin.CSTR: t sekoittavat jatkuvasti sisältöä, varmistaen jopa sekoittamisen ja reaktion liikkumisen molempiin suuntiin tarvittaessa.Tämä tekee niistä hyödyllisiä reaktioissa, jotka vaativat huolellista hallintaa parhaan saannon saamiseksi.Vaikka PFR: t ovat hienoja tiettyihin reaktioihin, ne eivät välttämättä ole paras valinta, kun reaktio vaatii enemmän aikaa tasapainottamiseen tai jatkuvan sekoittumisen vuoksi.Oikean reaktorin valitseminen riippuu reaktion tyypistä ja halutusta tuloksesta.
Pistotulpan virtausreaktorit (PFR) tarvitsevat tasaisen ja hyvin sekoituneen syötteen reaktionopeuksien ja tuotteen laadun pitämiseksi yhdenmukaisena.Jos syöttö muuttuu pitoisuuteen, lämpötilaan tai paineeseen, se voi vaikuttaa reaktorin toimintaan.Epätasainen rehun laatu voi johtaa epäjohdonmukaisiin muuntokursseihin ja lopputuotteen muunnoksiin.Alalla, jolla tarkka tuotteen laatu on tärkeä, jopa pienet muutokset voivat aiheuttaa ongelmia, kuten ei -toivottuja sivureaktioita tai pienempää tehokkuutta.Näiden ongelmien välttämiseksi on tärkeää pitää rehu vakaana ja asianmukaisesti hallittuna.Hyvin säännelty rehu varmistaa, että reaktori toimii sujuvasti ja tuottaa luotettavia tuloksia.PFR: t ovat erittäin herkkiä syöttöolosuhteiden muutoksille, koska kaikki variaatiot vaikuttavat suoraan reaktorin sisällä tapahtuvaan.Koska reaktiot tapahtuvat, kun rehu liikkuu läpi, kaikki sen ominaisuuksien muutokset voivat johtaa epätasaiseen käsittelyyn ja arvaamattomiin tuloksiin.Tämän estämiseksi operaattoreiden on tarkkailtava ja hallita huolellisesti syötettä.Lämpötilan muutokset, paineen muutokset tai epäpuhtaudet voivat häiritä reaktiota ja vähentää tehokkuutta.Edistyneiden valvontajärjestelmien käyttäminen auttaa ylläpitämään vakaat olosuhteet, varmistamaan paremman suorituskyvyn, korkeamman tuotteen laadun ja vähemmän tuotanto -ongelmia.
Pakattujen sänkyjen pistokevirtausreaktoreissa (PFR), kiinteät katalyyttit tai pakkausmateriaalit auttavat ajamaan kemiallisia reaktioita.Kanavaaminen voi kuitenkin tapahtua, kun reagenssien virtaus ei leviä tasaisesti pakatun sängyn läpi.Virtaamisen sijasta reagenssit voivat kulkea tiettyjä polkuja ohittaen katalyytin osia.Tämä aiheuttaa epätasaisen reaktion, jossa jotkut alueet toimivat tehokkaasti, kun taas toiset eivät.Seurauksena on, että jotkut reagenssit kulkevat reaktorin läpi reagoimatta täysin reagoimatta, vähentäen yleistä tehokkuutta.Koska PFR: t tarvitsevat jopa parhaan suorituskyvyn virtausta, kanavointi voi olla suuri ongelma, etenkin teollisuudenaloilla, jotka vaativat korkeat muuntokurssit.Kanavointi johtaa epätasaiseen reaktioasteen määrään ja alhaisempaan kokonaistehokkuuteen.Kun katalyytin sängyn osat ohitetaan, vähemmän reagensseja muuttuu tuotteiksi, mikä johtaa hukkaantuneisiin materiaaleihin ja alhaisempiin satoihin.Tämän estämiseksi sinun on suunniteltava reaktorit huolellisesti.He voivat käyttää tasaista pakkaamista, virtausjakelijoita tai erityisiä rakenteita virtauksen levittämiseksi tasaisesti.Oikea suunnittelu auttaa minimoimaan kanavoinnin, mikä tekee reaktorista tehokkaamman ja parantaa kemiallista tuotantoa.
Vaikka pistokevirta-reaktoreilla (PFR) on yksinkertainen muotoilu, niiden suurempi tai niiden suunnittelu laajamittaiseen käyttöön voi olla melko hankala.PFR: n mittakaavassa heidän on varmistettava, että materiaalien virtaus pysyy sileänä ja että reaktio -olosuhteet pysyvät samoina koko reaktorin ajan.Tämä vaatii huolellisia laskelmia ymmärtääksesi kuinka nesteet liikkuvat, kuinka lämpö leviää ja kuinka nopeasti reaktiot tapahtuvat järjestelmän sisällä.Nämä tekijät muuttuvat entistä tärkeämmiksi suurissa teollisuusasetuksissa, joissa pienet virtauksen tai lämpötilan muutokset voivat vaikuttaa tehokkuuteen ja tuotteen laatuun.Jos PFR: tä ei skaalata kunnolla, se ei ehkä toimi niin hyvin kuin odotettiin, mikä johtaa tuotannon ongelmiin.PFR: n mittaamiseksi, tee siitä usein pidempi tai aseta useita reaktoreita vierekkäin.Yksinkertaisesti koon lisääminen ei kuitenkaan riitä.Niiden on säädettävä huolellisesti virtausnopeudet varmistaaksesi, että materiaalit liikkuvat oikealla nopeudella reaktion loppuun saattamiseksi.Painemuutokset reaktorin sisällä on myös ohjattava virtausongelmien estämiseksi.Toinen ongelma on lämmönsiirto, koska suuret reaktorit voivat kamppailemaan tasaisen lämpötilan pitämiseksi, mikä voi aiheuttaa reaktorin osia ylikuumenemisen tai jäähtymisen liikaa.Monet käyttävät edistyneitä menetelmiä näiden tekijöiden hallintaan siten, että suurempi reaktori toimii yhtä hyvin kuin alkuperäinen pienempi versio.
Pistokevirtausreaktorit (PFR) voivat kehittää likaantumisen, mikä tapahtuu, kun kiinteät materiaalit kerääntyvät reaktorin sisällä.Nämä talletukset voivat tulla rehun jäljellä olevista reagensseista, sivutuotteista tai epäpuhtauksista.Ajan myötä likaantuminen voi estää materiaalien virtauksen ja tehdä lämmönsiirrosta vähemmän tehokasta.Koska lämpötilan hallinta on tärkeä reaktioille, tämä voi hidastaa tai muuttaa reaktioprosessia vähentäen tehokkuutta.Tämän estämiseksi tarvitaan säännöllistä puhdistusta, mutta tämä voi olla kallista ja voi vaatia toiminnan lopettamista tai hidastamista.Jos likaantumista ei hallita, se voi myös aiheuttaa pitkäaikaisia vaurioita reaktoriosille, mikä johtaa vielä kalliimpiin korjauksiin.Likaantumisen lisäksi PFR: t voivat myös kohdata tukkeutumisia tai häiriöitä virtauksessa.Nämä reaktorit tarvitsevat materiaalien tasaisen liikkeen, joten kaikki tukkeutumiset voivat aiheuttaa ongelmia.Tukkeet voivat tulla kiinteistä hiukkasista, laiteongelmista tai syöttökoostumuksen muutoksista.Kun tämä tapahtuu, paine voi muuttua, ja reaktio ei välttämättä saa aikaan kunnolla, mikä johtaa alhaisempaan tuotteen laatuun.Epätasainen virtaus voi myös vaikuttaa lämpötilan ja pitoisuuden tasoon reaktorin sisällä, mikä tekee prosessista vähemmän tehokasta.Näiden ongelmien välttämiseksi tarvitaan jatkuvaa seurantaa.Monet järjestelmät käyttävät antureita ja hallintalaitteita suorituskyvyn seuraamiseen, mutta ne lisäävät toimintakustannuksia.Näistä haasteista huolimatta säännöllinen huolto ja huolellinen seuranta auttavat pitämään PFR: t sujuvasti ja tehokkaasti.
Pistokevirtausreaktoreita (PFR) käytetään laajasti kemian tekniikassa niiden tehokkuuden ja monipuolisuuden vuoksi.Niiden suunnittelu varmistaa yksisuuntaisen virtauksen ja yhdenmukaiset viipymisajat, mikä mahdollistaa reaktiokinetiikan ja tuotteiden jakautumisen tarkan hallinnan.Tämä tekee niistä sopivia erilaisiin kemiallisiin reaktioihin, mukaan lukien kaasufaasi, nestefaasi, heterogeeniset ja homogeeniset järjestelmät.Niiden skaalautuvuus ja kustannustehokkuus ovat arvokkaita laaja-alaisessa teollisuustuotannossa.
Pistokevirtausreaktorit (PFR) ovat tärkeitä suurten määrien kemikaalien, kuten rikkihapon, etyleenioksidin ja metanolin tekemisessä.Niiden suunnittelu antaa kemikaalit virtata jatkuvasti, mikä nopeuttaa reaktioita ja lisää tuotantoa.Tämä on hyödyllistä teollisuudenaloille, joiden on tehtävä korkeat määrät kemikaaleja nopeasti.PFR: t tarjoavat stabiilit reaktio -olosuhteet varmistaen, että lopputuote on puhdasta ja laadun tasaista.Pitämällä reaktionopeudet tasaisena ja vähentämällä ei-toivottuja sivutuotteita, PFR: t auttavat maksimoimaan tuotannon tehokkuuden.Tämä luotettavuus on hieno teollisuudelle, joka riippuu tarkista kemiallisista prosesseista suurten määrien tuottamiseksi tehokkaasti ja halvemmalla.PFR: t tekevät myös kemiallisesta valmistuksesta tehokkaamman estämällä takaisinsekoitusta ja pitämällä reaktiot tasaisena.Niiden tasainen virtaus mahdollistaa reaktio -olosuhteiden paremman hallinnan, mikä vähentää ylimääräisten puhdistusvaiheiden tarvetta.Tämä alentaa tuotantokustannuksia ja vähentää jätteitä, mikä tekee toiminnoista kestävämpää.PFR: iä käytetään laajasti kemikaaleja nopeasti, johdonmukaisesti ja minimaalisella jätteellä PFR: llä, jotka vaativat suuren määrän kemiallista tuotantoa.Heidän suunnittelu tekee niistä suositun valinnan yrityksille, jotka haluavat parantaa tehokkuutta ja tuotteen laatua pitäen kustannukset hallinnassa.
Petrokemian teollisuudessa tulpan virtausreaktoreita (PFR) käytetään yleisesti prosessien, kuten katalyyttisen halkeamisen ja hydrauksen, jalostamiseen.Niiden tarkka reaktio -olosuhteiden hallinta mahdollistaa arvokkaiden kemikaalien, kuten etyleenin, propeenin ja butadieenin, tehokkaan tuotannon, joita käytetään muovien ja synteettisten materiaalien valmistuksessa.Koska PFRS prosessoi suuria määriä hiilivetyjä jatkuvasti, ne auttavat jalostamoja toimimaan sujuvasti ja ylläpitämään tuotteen laatua.PFRS: n yksisuuntainen virtaus estää takaisinsekoituksen, säilyttäen reagenssien puhtauden ja parantaen yleistä tehokkuutta.Toinen PFR: ien etu petrokemiallisessa prosessoinnissa on niiden kyky käsitellä lämpöä tehokkaasti, mikä on tärkeää korkean lämpötilan jalostusreaktioille.Ylläpitämällä tasaista lämpötilaa ja painetta, PFR: t auttavat maksimoimaan saannot vähentäen samalla ei-toivottuja sivutuotteita.Heidän suunnittelu tekee heistä myös mukautuvia sekä laajamittaisiin jalostustoimintoihin että erikoistuneeseen petrokemian tuotantoon.Niiden tehokkuuden, luotettavuuden ja kyvynsä käsitellä suuria määriä materiaalia keskeytyksettä, PFR: llä on rooli petrokemian teollisuudessa, mikä auttaa jalostamoja vastaamaan globaaliin kysyntään ja parantaen samalla energiatehokkuutta.
Pistokevirtausreaktoreita (PFR) käytetään laajasti lääkkeiden valmistuksessa, etenkin aktiivisten farmaseuttisten aineosien (API) tuotannossa.Niiden kyky ylläpitää tarkkoja reaktio -olosuhteita varmistaa, että lääkkeitä tuotetaan erittäin puhtaasti ja johdonmukaisesti.Koska kaikilla PFR: n molekyyleillä on samat reaktio -olosuhteet, tuotteiden laatu vaihtelee vähemmän.Tämä on tärkeää lääketeollisuudessa, jossa tiukat määräykset vaativat johdonmukaista ja korkealaatuista lääkkeiden tuotantoa.Vähentämällä ei-toivottujen sivutuotteiden muodostumista, PFR: t auttavat myös maksimoimaan saannon varmistaen, että kalliita raaka-aineita käytetään tehokkaasti.PFR: t parantavat myös lääkkeiden valmistusta mahdollistamalla jatkuvan tuotannon eräkäsittelyn sijasta.Tämä vähentää vaihtelevuutta eri tuotanto -ajojen välillä ja lisää tehokkuutta.Reagenssien tasainen virtaus PFR: ssä tekee niistä ihanteellisia erikoislääkkeiden tuottamiseen, jotka vaativat tarkkaa reaktioaikojen ja olosuhteiden hallintaa.PFR: t tukevat nykyaikaisia valmistustekniikoita, kuten jatkuvaa virtauskemiaa, mikä auttaa yrityksiä vähentämään jätteitä ja alentamaan kustannuksia noudattaen tiukat laatu- ja turvallisuusstandardit.Näiden etujen takia PFR: t ovat tärkeä tekniikka farmaseuttisessa tuotannossa.
Pistokevirtausreaktorit (PFR) ovat erittäin tehokkaita katalyyttisissä reaktioissa, joissa reagenssilla on oltava jopa kosketus katalyytteihin parhaiden tulosten saavuttamiseksi.Niiden tasainen virtaus varmistaa, että reagenssit kulkevat tasaisesti katalyyttisten pintojen yli parantaen reaktion nopeutta ja tehokkuutta.Tämä on hyödyllistä teollisuusprosesseissa, kuten hydraus ja hapettuminen, missä tarkka reaktion hallinta johtaa korkeampiin saannoihin.Koska PFR: t ylläpitävät vakaat olosuhteet, katalyyttit kestävät pidempään, vähentävät kustannuksia ja parantavat kokonaistuloksia.Estämällä epätasainen sekoitus, PFR: t myös vähentävät ei -toivottuja sivureaktioita, mikä tekee niistä edullisen valinnan teollisuudelle, joka luottaa katalyyttisiin prosesseihin.PFR: t parantavat myös laaja-alaisen katalyyttistä tuotantoa optimoimalla reaktio-olosuhteet ja vähentämällä jätteitä.Niiden suunnittelu mahdollistaa paremman lämpötilan ja paineenhallinnan, mikä johtaa katalyyttien tehokkaampaan käyttöön.Tämä on tärkeää teollisuudelle, kuten petrokemikaalit, lääkkeet ja hienot kemikaalit, joissa jopa pienet tehokkuuden parannukset voivat vaikuttaa kustannuksiin ja tuotteiden laatuun.PFR: llä on rooli, koska he kykenee maksimoida katalyytin suorituskyky vähentämällä jätteiden ja energian käyttöä.
Pistotulpan virtausreaktorit (PFR) ovat tärkeitä ympäristönsuojelussa, etenkin pilaantumisen vähentämiseksi ja teollisuusjätteen käsittelemiseksi.Niitä käytetään yleisesti savukaasukäsittelyssä, jossa haitalliset päästöt, kuten rikkidioksidi ja typpioksidit, muuttuvat turvallisemmiksi yhdisteiksi.PFR: llä on myös rooli jäteveden käsittelyssä hajottamalla vaaralliset kemikaalit vähemmän haitallisiksi sivutuotteiksi.Niiden jatkuva virtaussuunnittelu varmistaa tehokkaan epäpuhtauksien poistamisen, mikä auttaa teollisuutta täyttämään ympäristömääräyksiä vähentäen samalla toimintakustannuksia.Saasteiden torjunnan lisäksi PFR: t tukevat kestävyyttä parantamalla energiatehokkuutta ja vähentämällä jätteitä.Niiden kyky käsitellä suuria määriä teollisuusjätteitä tekee niistä jatkuvasti luotettavan ratkaisun laaja-alaiseen ympäristöasioiden hallintaan.Sisällyttämällä PFR -tekniikka, teollisuus voi vähentää ympäristövaikutuksiaan säilyttäen samalla tehokasta tuotantoa.Saastumisen ja ilmastonmuutoksen kasvaessa PFR: stä on tulossa yhä arvokkaampi työkalu puhtaammille ja kestävämpiä valmistusratkaisuja hakeville toimialoille.
PFR: t voivat käsitellä sekä heterogeenisiä että homogeenisia reaktioita, mikä tekee niistä erittäin monipuolisia kemiallisessa synteesissä.Ne ovat hyödyllisiä monimutkaisissa orgaanisissa synteeseissä, jotka vaativat tarkkaa lämpöhallintaa ja materiaalinkäsittelyä. Heterogeenisissä reaktioissa tasainen virtauskuvio varmistaa jopa reagenssien ja kiinteiden katalyyttien välillä jopa kontaktin, maksimoi muuntamisnopeudet ja tuotteiden selektiivisyyden.Homogeenisissa reaktioissa tasaiset viipymisajat ylläpitävät tasaista reaktiokinetiikkaa, mikä parantaa satoa ja tuotteen laatua.Tämä sopeutumiskyky tekee PFR: t, jotka sopivat monenlaisiin kemiallisiin prosesseihin, perushyödykkeiden kemikaaleista monimutkaisiin hienoihin kemikaaleihin ja lääkkeisiin.Niiden tarkka reaktio-olosuhteiden hallinta mahdollistaa korkean puhtaan tuotteiden synteesin, jolla on minimaaliset sivutuotteet.
PFR: ää käytetään hienojen kemikaalien tuottamisessa, joissa tarvitaan korkea puhtaus- ja spesifisiä reaktioreittejä.Ne tarjoavat tarkan hallinnan lämpötilan, paineen ja viipymisajan suhteen, mikä varmistaa yhdenmukaisen tuotteen laadun ja saannon.Tämä tarkkuus on suuri väriaineiden, tuoksujen, erikoispinnoitteiden ja muiden hienojen kemikaalien valmistuksessa, jotka vaativat tiukkoja laatustandardeja.PFR: t minimoivat sivutuotteen muodostumisen ja parantavat reaktion selektiivisyyttä, optimoimalla raaka-aineiden käyttö ja vähentämällä jätteitä.Niiden skaalautuvuus antaa myös hienot kemialliset valmistajat siirtyä tehokkaasti pienimuotoisesta laboratoriosynteesistä täysimittaiseen teollisuustuotantoon säilyttäen samalla tuotteiden johdonmukaisuus.
Pistokevirtausreaktorit ovat erittäin hyödyllisiä kemiallisten reaktioiden hallinnassa tarkasti.Ne toimivat pitämällä kaikki liikkumassa yhteen suuntaan, mikä auttaa saamaan enemmän tuotteita samasta määrästä kemikaaleja ja pitää asiat turvallisina ja johdonmukaisina.Ne ovat erityisen hyviä suurille teollisuustyöille, joissa sinun on tehtävä paljon tuotetta tuhlaamatta materiaaleja tai energiaa.Ne eivät kuitenkaan ole täydellisiä jokaiseen tilanteeseen, joskus he eivät sekoitu riittävän hyvin tiettyihin reaktioihin, ja ne voivat olla herkkiä käyttämiensä materiaalien muutoksille.Mutta kaiken kaikkiaan PFR: t ovat valinta monille valmistusprosesseille, koska ne tasapainottavat tehokkuutta tehokkuudella pitäen teollisuuden sujuvasti ja taloudellisesti.
Lähetä kysely, vastaamme heti.
Plug -virtausreaktorin (PFR) periaate on, että reagenssit virtaavat lieriömäisen putken läpi tavalla, jossa kaikki nesteen elementit liikkuvat reaktorin läpi samalla nopeudella, ilman sekoittumista virtaussuunnassa.Tämä johtaa jokaiseen reaktoriin tulevan nesteen segmenttiin eri aikoina pitäen olennaisesti reaktorin läpi liikkuvan nesteen "tulpan".Konsentraatio ja reaktionopeus vaihtelevat reaktorin pituuden pitkin, mutta ovat vakioita minkä tahansa virtauksen kohtisuoran poikkileikkauksen välillä.
Plug -virtausreaktorin keskeinen ominaisuus on sen kyky ylläpitää tasaista reagenssipitoisuuden gradienttia sisääntulosta poistoaukkoon.Tämä varmistaa, että reaktio etenee sarjana äärettömiä pieniä eräreaktoreita, jotka on sekvensoitu putken pituuteen.Tämä asennus tarjoaa tarkan hallinnan reaktioaikojen ja olosuhteiden suhteen, mikä on ihanteellinen reaktioille, jotka ovat herkkiä viipymiselle.
Pistotulpan reaktoreita (PFR) käytetään laajasti toimialoilla, joilla reaktioaikojen tarkka hallinta on hyvä tehokkuuteen ja tuotteen laatuun.Kemiallisessa tuotannossa PFR: t mahdollistavat kemikaalien jatkuvan luomisen, varmistaen tasaiset tuoteominaisuudet stabiililla virtauksella ja reaktio -olosuhteilla.Ne ovat tärkeitä petrokemiallisissa prosesseissa, kuten hiilivetyhalkeilussa eteenin ja muiden olefiinien tuottamiseksi, joissa tarkka ajoitus ja lämpötilat ovat avain saannojen maksimoimiseksi ja sivutuotteiden vähentämiseksi.Farmaseuttisessa valmistuksessa PFR: t ovat tärkeitä lääkkeen synteesille.Tarkka valvonta, jonka he tarjoavat reaktioaikojen ja olosuhteiden aikanaPFR: ää käytetään myös vedenkäsittelyssä, erityisesti veden kloorauksessa, desinfiointiin tehokkaasti samalla kun kontrolloivat kemiallista altistumista ja minimoimalla ylimääräistä käyttöä.
Pistokevirtakuottaja toimii periaatteessa, joka on samanlainen kuin PFR, mutta se on erityisesti suunniteltu orgaanisten materiaalien anaerobiseen pilkkomiseen.Tässä asennuksessa orgaaniset jätteet syötetään jatkuvasti suljetun vaakasuoran reaktorin toiseen päähän.Kun jätteet liikkuvat reaktorin läpi, mikro -organismit sulattavat orgaanisen aineen tuottaen biokaasua (metaani ja hiilidioksidi).Keittimessä on tasainen virtaus, joka estää sekoittumisen ja varmistaa, että jokaisella jätesegmentillä on tasainen retentioaika, optimoimalla kaasuntuotanto ja minimoivat tarttumattomat jätteet.
Plug -virtausreaktorin (PFR) käyttäminen parantaa kemiallisia prosesseja tarjoamalla suurta muuntamistehokkuutta, mikä tarkoittaa, että se käyttää kaikkia reagensseja tehokkaasti maksimoimaan lähtö.PFR: t ylläpitävät tarkkaa lämpötilanhallintaa, lisäämällä reaktiotasoja ja saannet.Ne ovat skaalautuvia, mikä mahdollistaa helpon siirtymisen pienimuotoisista laboratorioasetuksista laajamittaiseen teollisuustuotantoon vaikuttamatta prosessin laatuun.PFR: t estävät takaisinsekoituksen, prosessien tarvetta, jotka vaativat peräkkäisiä reaktioita ilman häiriöitä.Ne nopeuttavat tuotantoa pitämällä reagensseja siirtymässä jatkuvasti kohti valmistumista, vähentäen kokonaisreaktioaikaa ja leikkaamalla kustannuksia.
04.03.2025
03.03.2025
18.04.8000 147757
18.04.2000 111935
18.04.1600 111349
18.04.0400 83719
01.01.1970 79508
01.01.1970 66900
01.01.1970 63017
01.01.1970 63010
01.01.1970 54081
01.01.1970 52121