
Moottorin nopeuden hallinta Tarkoittaa, kuinka nopeasti moottori pyörii vastaamaan tehtävän tarkkoja tarpeita.Kyse ei ole vain nopeuden muuttamisesta satunnaisesti, vaan moottorin käyttäytymisen sovittamisesta siihen, mitä järjestelmä vaatii milloin tahansa.Tämä kyky hienosäätää nopeutta parantaa energiatehokkuutta, pidentää laitteiden käyttöikää vähentämällä mekaanista jännitystä ja varmistaa toiminnan paremman tarkkuuden.Esimerkiksi kuljettimen on ehkä hidastettava herkkiä esineitä tai nopeuttamaan, kun linja on selkeä.Sähkömoottorien on usein mukauduttava muuttuviin kuormiin, tehtäviin tai ympäristöihin.Ilman säädettävää nopeutta moottorit toimisivat vain yhdellä kiinteällä nopeudella, mikä tekee niistä vähemmän hyödyllisiä ja vähemmän tehokkaita.
Nopeutta ohjataan säätämällä sähkötuloa.AC -moottoreissa tämä tarkoittaa yleensä virtalähteen taajuuden muuttamista.DC -moottoreissa jännitemuutokset ovat yleisempiä.Jotkut järjestelmät käyttävät myös palauteaineita suorituskyvyn seuraamiseen ja säätöjen tekemiseen.Tämä palautesilmukka auttaa ylläpitämään jatkuvaa nopeutta myös silloin, kun kuormat vaihtelevat.Nopeudenhallinta vaihtelee vanhempien järjestelmien perusvastuksista edistyneisiin digitaalisiin ohjaimiin käyttämällä mikroprosessoreita ja hienostuneita algoritmeja.Näiden uudempien menetelmien avulla moottorit voivat reagoida sujuvasti ja tarkasti muuttuviin olosuhteisiin.
AC -moottorin nopeus riippuu kahdesta asiasta: vaihtovirtavoiman taajuus ja moottorin napojen lukumäärä.Nopeuden muuttamiseksi muutamme taajuutta.Siellä muuttuvataajuusasemat (VFD) tulevat sisään. VFD muuntaa kiinteätaajuisen vaihtovirtavirran tasavirtaan, tasoittaa sen ja muuntaa sen sitten takaisin AC: ksi halutulla taajuudella.Tämän avulla moottorin nopeus säädetään tarkasti.Hallitsemalla sekä taajuutta että jännitettä VFD: t voivat hallita moottorin vääntömomenttia ja nopeutta tehokkaammin.

Kuva 2. AC -moottorin nopeuden ohjausjärjestelmän lohkokaavio
Nykyaikaisen muuttuvan taajuusasemat (VFD) ylittävät vain moottorin nopeuden säätämisen sisällyttämällä edistyneitä ohjaustekniikoita, kuten vektoriohjauksen, joka erottaa vääntömomentin ja vuon hienosäädetyn suorituskyvyn ja suoran vääntömomentin ohjauksen (DTC), joka tarjoaa nopeita ja tarkkoja vääntömomentin säätöjä.Nämä ominaisuudet antavat moottoreille mahdollisuuden nopeuttaa, hidastaa ja ylläpitää kuormia tehokkaasti ilman lisämekaanisia komponentteja tai lisättyjä jännityksiä.Ominaisuudet, kuten pehmeän käynnistystoiminnot, sisäänrakennettu ylikuormitussuojaus ja edistyksellinen diagnostiikka ovat tehneet VFD: t tärkeinä monissa sovelluksissa, vedenkäsittelylaitoksista hissijärjestelmiin.
DC -moottorit valitaan usein, kun nopea, tarkka nopeusmuutokset ovat välttämättömiä.Niiden nopeus muuttuu suoraan ankkuriin kohdistuvan jännitteen kanssa.Kuorma vaikuttaa myös nopeuteen, lisääntynyt kuorma hidastaa moottoria tyypillisesti.Tehokkain menetelmä on tänään PWM.Se käyttää korkeataajuista jännitepulsseja säädettävällä leveydellä moottorin toimitetun keskimääräisen jännitteen ohjaamiseksi.Tämä mahdollistaa tarkan nopeudenhallinnan pienellä virran menetyksellä.

Kuva 3. Lohkokaavio DC -moottorin nopeuden ohjausjärjestelmästä
Muita ohjausmenetelmiä ovat kenttäohjaus, jossa virran säätäminen magneettikentässä muuttaa moottorin nopeutta, kentän vähentäminen lisää nopeutta, mutta vähentää vääntömomenttia;Ankkuriresistenssin hallinta, yksinkertainen, mutta tehoton menetelmä, joka lisää vastusjännitteen ja nopeuden vähentämiseksi;ja suljetun silmukan ohjaus, joka käyttää antureita nopeuden tarkkailuun ja jännitteen tai virran säätämiseen jatkuvasti suorituskyvyn ylläpitämiseksi vaihtelevien kuormitusten alla.Korkean tarkkuuden ja reagointikyvyn vuoksi DC-moottoreita käytetään yleisesti robottiikoilla, lääketieteellisissä laitteissa ja akkukäyttöisissä työkaluissa.
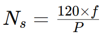
AC -moottorin nopeudenhallintatekniikat perustuvat synkronisen nopeuden kaavaan:

Jossa:
• NS on synkroninen nopeus (RPM)
• F on vaihtovirtasyötön taajuus (Hz: ssä)
• P on moottorin pylväiden lukumäärä
Vaihtelemalla syöttötaajuutta moottorin nopeutta voidaan säätää, mikä saavutetaan käyttämällä muuttuvan taajuusasemia (VFD).VFD-ohjaustyyppiä on kahta päätyyppiä: skalaarinen (V/F) ohjaus, joka ylläpitää vakiojännite- ja taajuussuhdetta ja on yksinkertainen ja vakaa perussovelluksissa;ja vektoriohjaus, joka erottaa vääntömomentin ja magneettisen flux -komponentit tarkemman ja reagoivan hallinnan mahdollistamiseksi, etenkin alhaisella nopeudella.Edistyneempiin järjestelmiin sisältyy anturiton ohjaus, arvioimalla moottorin sijainti ilman fyysisten anturien tarvetta.Lisäksi VFD: t tukevat toimintoja, kuten hallittu kiihtyvyys (ramppi), vääntömomentin rajoittaminen ja jarrutus, mikä tekee niistä erittäin sopivia vaativiin sovelluksiin, kuten hisseihin, nosturiin ja CNC -koneisiin.
DC -moottorin nopeutta säätelee suhde,

Jossa:
• V on ankkurijännite
• IA on ankkurivirta
• RA on ankkuriresistenssi
• φ on magneettinen flux
Eri nopeudenhallintatekniikoiden joukossa pulssin leveyden modulaatio (PWM) on edelleen tehokkain sen tehokkuuden ja reaktiivisuuden vuoksi.Muita menetelmiä ovat vuon heikentyminen, mikä lisää nopeutta vähentämällä magneettikentän voimakkuutta, joka sopii tilanteisiin, joissa alempi vääntömomentti on hyväksyttävää;Ankkuriresistenssin hallinta, joka on yksinkertaisempi, mutta vähemmän tehokas energiahäviöiden vuoksi;ja suljetun silmukan hallinta palautteella, joka käyttää antureita, kuten koodereita tai tachogeneraattoreita tarkan ja mukautuvan nopeuden säätelyn aikaansaamiseksi.
Jännitteenohjaus: Tämä menetelmä hidastaa moottoria vähentämällä staattorin käämissä käytettyä syöttöjännitettä.Jännitteen putoamalla magneettikentän lujuus vähenee, mikä johtaa alhaisempaan vääntömomenttiin ja nopeuteen.Vaikka tämän menetelmän yksinkertaisuus tekee siitä houkuttelevan perussovelluksissa, etenkin tuulettimen tai pumpun kuormituksissa, se on yleensä tehoton, koska moottori piirtää edelleen suurta virtaa jopa pienentyneellä nopeudella, mikä johtaa lisääntyneisiin lämpö- ja energiahäviöihin.Se on varattu kevyille toimille, joissa tarkkaa ohjausta ei vaadita.
Taajuuden hallinta (VFDS): Muuttuvan taajuusasemat (VFD) Säädä sekä moottorille toimitettu jännite että taajuus, mikä mahdollistaa nopeuden ja vääntömomentin tarkan ja tehokkaan hallinnan.Ylläpitämällä vakio volttia-nertsasuhde VFD: t säilyttävät moottorin magneettisen tasapainon ja vääntömomentin ominaisuudet laajalla nopeusalueella.Tätä menetelmää käytetään laajasti nykyaikaisissa teollisuus- ja kaupallisissa sovelluksissa sen energiatehokkuuden, sopeutumiskyvyn ja kyvyn käsittelemisen vuoksi vaihtelevien kuormitusolosuhteiden vuoksi.
Pylväsvaihto: Jotkut oravan häkin induktiomoottorit on suunniteltu staattori käämillä, jotka voidaan konfiguroida uudelleen magneettisten napojen määrän muuttamiseksi.Muutamalla napamäärää, moottorin synkroninen nopeus muuttuu erillisissä vaiheissa (esim. 2-napaisesta 4-napaiseen toimintaan), jolloin moottori voi toimia eri kiinteillä nopeuksilla.Tämä menetelmä tarjoaa yksinkertaisen ja vankan tavan saavuttaa monenopeuksinen ohjaus ilman ulkoista elektroniikkaa, vaikka se rajoittuu ennalta määritettyihin nopeusasetuksiin ja puuttuu sujuva vaihtelu.
Ulkoinen roottorin vastus : Tämä tekniikka sisältää muuttuvien vastusten lisäämisen roottoripiiriin liukurenkaiden ja harjojen kautta.Lisäämällä roottorinkestävyyttä, liukastumista lisääntyy, mikä alentaa roottorin nopeutta ja tarjoaa paremman vääntömomentin hallinnan, hyödyllisen käynnistyksen aikana tai kuormille, jotka vaativat muuttuvan vääntömomentin.Sähköenergian osa kuitenkin häviää lämmönä ulkoisissa vastuksissa, mikä tekee menetelmästä tehottoman jatkuvaan käyttöön.
Kaskadinhallinta: Tässä asennuksessa kaksi moottoria on mekaanisesti kytketty, ja yksi moottori (toissijainen tai apumoottori) on kytketty sähköisesti päämoottorin roottoripiiriin.Tämä järjestely sallii virranjaon ja nopeuden hallinnan kiinteissä vaiheissa riippuen sähkö- ja mekaanisen linkin suunnittelusta.Vaikka Cascade Control oli suhteellisen monimutkainen ja vähemmän yleinen nykyaikaisissa järjestelmissä, se oli tehokas tapa hallita suuria kuormia ja keskitason nopeuksia vanhoissa teollisuuskoneissa.
EMF -injektio: Electromotive Force (EMF) -injektio, jota käytetään Kramerin ja Scherbius -asemien kaltaisissa järjestelmissä, sisältää spesifisen taajuuden ja vaiheen ohjatun jännitteen injektoinnin roottorin piiriin.Tämä muuttaa roottorin liukutaajuutta ja mahdollistaa muuttuvan nopeuden toiminnan paremmalla tehokkuudella kuin vastusmenetelmät.Nämä asemat soveltuvat hyvin suuritehoisiin sovelluksiin, joissa tarkka nopeuden säätely ja energian talteenotto ovat tärkeitä, kuten suurissa kompressoreissa, pumppuissa tai myllyissä.
Kenttäohjaus: Tämä menetelmä käsittää muuttuvan vastuksen asettamisen sarjaan DC -shunttimoottorin kenttäkävelillä.Lisäämällä vastus, kentän käämin läpi kulkeva virta vähenee, mikä heikentää magneettista vuotoa.DC -moottorin nopeusyhtälön mukaan vuon väheneminen johtaa nopeuden lisääntymiseen olettaen, että ankkurijännite oletetaan.Kenttäohjaus on suhteellisen tehokas nopeuden lisäämiseksi nimellisarvon yläpuolelle.Koska kentän heikkeneminen vähentää myös vääntömomenttia ja voi aiheuttaa epävakautta tai ylinopeutta, tätä menetelmää on sovellettava huolellisesti ja vaatii usein suojatoimenpiteitä.
Ankkurijännitteen hallinta: Tässä menetelmässä ankkuriin toimitettu jännite vaihtelee suoraan pitäen kenttävirta vakiona.Ankkurijännitteen laskeminen vähentää nopeutta ja vääntömomenttia suhteellisesti.Tämä tekniikka on suoraviivainen toteuttaa ja sallii sujuvan hallinnan nimellisnopeuden alapuolella.Se on kuitenkin vähemmän energiatehokas, etenkin kuorman alla, koska mikä tahansa ylimääräinen energia häviää usein lämmönä kontrollivastuksissa tai tehoelektroniikassa.
Ward-Leonard-järjestelmä: Tämä klassinen ohjausjärjestelmä käyttää moottorigeneraattorin (M-G) -sarjaa, jossa tuotetaan muuttuvaa jännitettä säätämällä AC- tai DC-moottorin ohjaaman tasavirtageneraattorin lähtö.Syntynyt jännite syötetään shunt -moottorin ankkuriin, mikä mahdollistaa hienon ja jatkuvan ohjauksen laajan nopeuden alueella molemmissa suunnissa.Vaikka Ward-Leonard-järjestelmä on kallista ja tilaa vievää, se tarjoaa erinomaisen suorituskyvyn vääntömomentinhallinnan ja nopeuden säätelyn suhteen, mikä tekee siitä ihanteellisen vaatimaan sovelluksia, kuten hissinostot, valssausmyllyt ja tulostuspuristimet.
Kenttäsuuntaja: Vastus (sukeltaja) on kytketty samanaikaisesti sarjan kenttäkävelyn kanssa.Tämän ansiosta osa virrasta voi ohittaa kentän käämin, heikentää magneettista vuotoa ja lisätä moottorin nopeutta.Tämä menetelmä tarjoaa nopeudenhallinnan perusmuodon ja hyödyllistä sovelluksissa, kuten pito, jossa vaaditaan väliaikaisen nopeuden lisäykset.Se vähentää kuitenkin vääntömomenttia, ja sen on oltava tasapainossa varovasti epävakauden tai moottorin ylikuumenemisen estämiseksi.
Ankkuri : Asettamalla vastus ankkuripiirin rinnakkain, ankkurin ja kentän välistä virranjakaumaa voidaan muokata.Tämä säätö muuttaa moottorin vääntömomentin nopeuden ominaispiirteitä.Se on vivahteikkaampi menetelmä kuin kenttäsuontimet, jotka sallii vääntömomentin paremman hallinnan, mutta se tuo monimutkaisuutta ja vaatii huolellista virittämistä suorituskyvyn menetysten tai vaurioiden välttämiseksi.
Napautettu kenttä ja uudelleenryhmä: Tämä menetelmä muuttaa magneettikentän voimakkuutta muuttamalla kenttäkävelissä olevien aktiivisten käännösten lukumäärää.Käyttämällä nauhoja tai uudelleenyhteyksiä (ryhmittely uudelleen) uudelleen, voidaan valita erilaiset magneettiset kokoonpanot nopeusketorin käyrän siirtämiseksi.Se tarjoaa kiinteän nopeuden vaiheet ja sitä käytetään yleisesti laitteissa, joissa nopeuden ennustettavissa olevat muutokset ovat riittäviä, kuten nosturit tai nostimet.
Resistiivinen hallinta: Perusmenetelmä, jossa ulkoiset vastukset lisätään sarjaan moottorin kanssa pudottaaksesi jännitettä ja vähentää nopeutta.Vaikka tämä menetelmä on yksinkertainen ja edullinen, se on erittäin tehoton, koska suuri osa sähköenergiasta menetetään lämmönä.Sitä käytetään yleensä vain edullisissa tai vanhemmissa järjestelmissä, joissa tehokkuus ei ole ensisijainen huolenaihe.
Sarjan selkäranka: Tässä tekniikassa kaksi tai useampia sarjamoottoreita on kytketty joko sarjaan tai rinnakkain.Sarjassa heillä on sama virta ja ne toimivat pienemmällä nopeudella suuremmalla vääntömomentilla;Samanaikaisesti ne toimivat suuremmalla nopeudella vähentyneellä vääntömomentilla.Tämä ohjausmenetelmä mahdollistaa nopeuden vaihemuutokset ja sitä löytyy yleisesti sähköisten vetojärjestelmien, kuten raitiovaunujen ja junien, joissa tarvitaan yksinkertaista ja luotettavaa nopeuden hallintaa.
Teollisuus
Teollisuusasetuksissa AC -moottorin nopeudenhallinta on rooli optimoimalla kuljettimia, sekoittimia, pumppuja ja muita mekaanisia järjestelmiä.Säädintä tarkasti moottorin nopeutta käyttämällä laitteita, kuten muuttuvan taajuusasemia (VFD), toiminnot voidaan virittää tietyille tuotantovaatimuksille, mikä johtaa parannettuun prosessin tarkkuuteen, vähentyneeseen mekaaniseen jännitykseen ja energiansäästöihin.Esimerkiksi kuljetinhihnan hidastaminen tuotteen tarkistuksen aikana tai sekoittimen varovasti nouseminen vähentää kulumista ja parantaa turvallisuutta.Tämä joustavuus parantaa yleistä tehokkuutta ja pidentää koneiden käyttöikää.
LVI
Lämmitys-, tuuletus- ja ilmastointijärjestelmät (LVI) hyötyvät suuresti nopeusohjattujen moottoreista puhaltimissa, puhaltimissa ja kompressoreissa.Säätämällä moottorin nopeutta vasteena ympäristöolosuhteisiin ja järjestelmän vaatimuksiin energiankulutus vähenee, etenkin muuttuvassa kuormitustilanteessa, kuten lämpötilan vaihtelut tai käyttöasteen muutokset.VFD: t mahdollistavat ilmavirran ja jäähdytyssyklien pehmeän käynnistyksen ja hienosäätetyn modulaation, mikä johtaa hiljaisempaan toimintaan, parannetulle mukavuudelle ja alhaisemmille toimintakustannuksille sekä asuin- että kaupallisissa rakennuksissa.
Kodin laite
Nykyaikaiset kodinkoneet, kuten pesukoneet, jääkaapit ja astianpesukoneet, käyttävät yhä enemmän nopeusohjattuja vaihtovirtamoottoreita suorituskyvyn ja energiatehokkuuden parantamiseksi.Esimerkiksi muuttuvan nopeuden moottorit pesukoneissa mahdollistavat erilaiset pesisyklit optimoidulla sekoittamisella ja spin-nopeudella, vähentäen melua ja tärinää.Jääkaapissa nopeudenhallintakompressorit voivat säätää jäähdytysjaksoja sujuvammin pitäen tasaiset lämpötilat, joissa on vähemmän energiankäyttöä.
Älykäs infrastruktuuri
Älykkäissä rakennuksissa ja kuljetusjärjestelmissä vaihtovirtamoottorin nopeuden hallinta on olennainen osa hissien, liukuportaiden, liikkuvien kävelytien ja automatisoitujen ovien hallintaa.Nämä järjestelmät käyttävät usein älykkäitä motorisia ohjaimia, jotka liittyvät rakennuksen hallintajärjestelmiin (BMS) tai IoT -verkkoihin hallinnan, diagnostiikan ja energian seurannan tarjoamiseksi.Esimerkiksi hissit voivat säätää kiihtyvyys- ja hidastuvuusprofiileja, jotka perustuvat matkustajakuormitukseen tai lattian kysyntään, mikä parantaa ajon mukavuutta ja energian käyttöä.Liukuportaat voivat hidastaa tai keskeyttää, kun niitä ei käytetä, vähentämällä tyhjäkäyntiä virrankulutusta ja yhdenmukaistaminen kestävän kehityksen tavoitteiden kanssa nykyaikaisessa infrastruktuurisuunnittelussa.
Robotti
DC -moottoreita käytetään laajasti robotiikassa johtuen niiden kyvystä tarjota nopea vaste ja tarkka nopeus ja sijainnin hallinta.Pulssin leveyden modulaation (PWM) ja palautejärjestelmien, kuten kooderien, avulla robottijärjestelmät voivat saavuttaa hienorakeisen liikkeen, joka tarvitaan tehtäviin, kuten objektin manipulointiin, navigointiin ja koordinointiin.Tämä reagointikyky on tärkeä sovelluksissa, jotka vaihtelevat teollisista robottivarrista autonomisiin mobiiliroboteihin.
Sähköajoneuvot
Sähköajoneuvoissa (EV) DC -moottorin nopeuden hallinta on hyvä sileälle kiihtyvyydelle, hidastuvuudelle ja yleisen ajomatkan suorituskyvylle.Säätämällä moottorille toimitettua jännitettä ja virtaa, ajoneuvot voivat siirtyä saumattomasti erilaisten nopeuksien ja vääntömomenttien välillä parantaen ajo -mukavuutta ja hallintaa.Regeneratiiviset jarrujärjestelmät käyttävät hallittua tasavirtamoottorin käyttöä muuntaaksesi kineettisen energian takaisin sähköenergiaksi jarrutuksen aikana, parantamalla kokonaistehokkuutta ja pidentämällä akun käyttöikää.Nämä ominaisuudet tekevät DC-moottoreista ihanteelliset sekä kaksipyöräiset että nelipyöräiset sähkökuljetusjärjestelmät.
Kuluttajalaitteet
DC -moottorit ovat monien kompaktien ja kannettavien kuluttajalaitteiden, mukaan lukien sähkötyökalut, hiustenkuivaajat, tietokoneen jäähdytystuulettimet ja pienet keittiölaitteet.Nopeuden hallinta näissä sovelluksissa varmistaa optimaalisen suorituskyvyn, turvallisuuden ja energiatehokkuuden.Esimerkiksi tehoharjoituksissa muuttuvan nopeuden liipaisimet mahdollistavat vääntömomentin ja nopeuden säätämisen eri materiaaleille, kun taas puhaltimissa nopeuden vaihtelu tarjoaa paremman mukavuuden ja melun hallinnan.Kompakti suunnittelu ja elektronisen ohjauksen helppous tekevät DC-moottorit, jotka sopivat akkukäyttöisiin laitteisiin.
Lääketieteelliset ja laboratoriolaitteet
Lääketieteelliset ja laboratorioinstrumentit vaativat erittäin hallittua, hiljaista ja luotettavaa moottorin käyttöä.Tarkka nopeudenhallinta -laitteiden DC -moottoreita käytetään laitteissa, kuten infuusiopumput, sentrifugit, kirurgiset työkalut ja automatisoidut analysaattorit.Nämä sovellukset vaativat hiljaista toimintaa arkaluontoisten ympäristöjen häiritsemiseksi sekä nesteiden, näytteiden tai kirurgisten liikkeiden tarkan toimittamisen tai mittauksen tarkan liikkeen hallinnan kanssa.Harjattomat tasavirtamoottorit (BLDC) suositaan alhaiseen meluun, pieneen kunnossapitoon ja tasaiseen suorituskykyyn.
|
Ominaisuus |
AC -moottori |
DC -moottori |
|
Virtalähde |
Käyttää vuorottelevaa virtaa (AC) |
Käyttää suoraa virtaa (DC) |
|
Kuinka nopeutta ohjataan |
Nopeus muuttuu säätämällä taajuutta muuttujaan
Taajuusasema (VFD) |
Nopeuden muutokset säätämällä jännite- tai kenttävirta |
|
Valvonta monimutkaisuus |
Monimutkaisempi: tarvitsee VFD: t, vektorin hallinta, joskus
anturit |
Yksinkertaisempi: Käyttää jännitemuutoksia, PWM: tä tai kenttäohjausta |
|
Reaktioaika |
VFD -viiveestä johtuva hitaampi vaste |
Nopea vastaus, etenkin digitaalisen ohjauksen kanssa |
|
Aloitusmomentti |
Matala ilman erityisiä ohjausmenetelmiä |
Korkea aloitusmomentti oletuksena |
|
Vääntömomentti eri nopeuksilla |
Vääntömomentti voi pudota alhaisella nopeudella |
Ylläpitää voimakasta vääntömomenttia kaikilla nopeuksilla |
|
Nopeuden vakaus |
Hyvä suljetun silmukan järjestelmien kanssa;Vähemmän vakaa ilman |
Erinomainen hallinta ja vakaus kaikilla nopeuksilla |
|
Nopeusalue |
Rajoittama käyttö- ja moottorisuunnittelu |
Laaja vaihtelu erittäin alhaisesta nopeuteen |
|
Ylläpitotarpeet |
Matala: Ei harjoja tai kommuttoreita |
Korkeampi: Harjat kuluvat, ellei harjaton |
|
Kestävyys ankarissa ympäristöissä |
Karkeampi ja parempi vaikeissa olosuhteissa |
Harjatut moottorit ovat vähemmän kestäviä karkeissa ympäristöissä |
|
Lämmönkäsittely |
Usein rakennettu jäähdytysjärjestelmillä |
Voi ylikuumentua, jos sitä ei jäähtyä oikein |
|
Melu ja häiriöt (EMI) |
Voi tuottaa sähkömelua (EMI);tarvitsee suodattamista |
Harjatut moottorit aiheuttavat melua;Harjaton ovat hiljaisempia |
|
Virtalähdetarpeet |
Toimii suoraan AC -verkkojen kanssa (esim. 120 V tai 240 V) |
Tarvitsee DC -tarjontaa tai muuntimen vaihtovirta |
|
Peruutussuunta |
Vaatii ohjelmointia VFD: ssä |
Helppo: Käännä vain napaisuus tai käytä H-siltaa |
|
Regeneratiivinen jarrutus |
Monimutkainen ja kallista asentaa |
Helppo ja tehokas, käytetään EV: ssä ja robotiikassa |
|
Energian talteenotto |
Mahdollinen edistyneillä VFD: llä |
Tukee luonnollisesti energian palautumista |
|
Digitaalisen ohjauksen integraatio |
Muodostaa yhteyden järjestelmiin, kuten PLC: t VFD: n läpi |
Mikrokontrollereilla on helppo ohjata |
|
Tehokkuus
|
Erittäin tehokas tasaisella nopeudella |
Erittäin tehokas muuttuvan nopeuden tai usein
alkaa/pysähtyy |
|
Ohjausjärjestelmän koko |
VFD: t voivat olla suuria ja tarvitsevat jäähdytystä |
DC -ohjaimet ovat pieniä ja helppo asentaa |
Moottorin nopeuden hallinta on erittäin tärkeää nykypäivän koneissa ja laitteissa.Se auttaa säästämään energiaa, saa koneet kestämään pidempään ja pitää ne sujuvasti.AC -moottorit käyttävät VFD: tä usein nopeuden muuttamiseen säätämällä tehon taajuutta.DC-moottorit muuttavat nopeutta säätämällä jännitettä tai käyttämällä nopeita on-off-signaaleja (PWM).Näiden menetelmien avulla koneet voivat tehdä työnsä paremmin, olipa kyse sitten suuresta tehdaskoneesta, ilmastointilaitteesta tai robottivarresta.AC-moottorit ovat erinomaisia raskaisiin töihin ja pitkäaikaiseen käyttöön, kun taas DC-moottorit ovat parempia, kun tarvitaan nopeaa ja tarkkaa liikettä.Käyttämällä oikeaa nopeuden hallintamenetelmää varmistamme, että koneet toimivat turvallisesti, tehokkaasti ja tarkalleen kuinka tarvitsemme niitä.
Lähetä kysely, vastaamme heti.
Teho riippuu enemmän moottorin suunnittelusta kuin tyyppi (AC tai DC).Saman koon ja jännitteen luokituksen kohdalla AC-moottorit ovat kuitenkin tehokkaampia, koska ne pystyvät käsittelemään suurempia kuormia ja rakennetaan jatkuvaa, raskasta käyttöä varten.Teolliset vaihtovirtamoottorit, kuten kolmivaiheinen induktiomoottorit, ovat yleisiä tehtaissa, koska ne voivat ajaa suuria koneita luotettavasti.Toisaalta DC-moottorit tarjoavat tarkemman nopeuden ja vääntömomentin hallinnan, mutta niitä käytetään yleensä pienemmissä, erikoistuneemmissa sovelluksissa, kuten robotiikassa, joissa hienosäädetty liike on tärkeämpää kuin raakavoima.
DC -moottorit saavuttavat yleensä korkeammat kierroslukut (kierrokset minuutissa) kuin vaihtovirtamoottorit, etenkin pienet pysyvät magneetti- tai harjattomat tasavirtamoottorit.Tämä johtuu siitä, että DC -moottorit eivät luota voimajohtotaajuuteen ja voivat pyöriä nopeammin vain lisäämällä jännitettä.AC -moottorin nopeus on kuitenkin sidottu tulotaajuuteen ja pylväiden lukumäärään, joten se on rajoitetumpaa, ellei edistyneitä VFD -arvoja käytetä.DC-moottoreita käytetään usein, kun tarvitaan nopeaa suorituskykyä, kuten sähkötyökaluissa, drooneissa tai lääkinnällisissä laitteissa.
Ei aina.AC-moottorit kestävät pidempään raskaissa ympäristöissä.Tämä johtuu siitä, että useimmissa vaihtovirtamoottoreissa, erityisesti induktiotyypeillä, on vähemmän liikkuvia osia ja ei harjoja, mikä tarkoittaa vähemmän kulumista ajan myötä.Harjatut tasavirtamoottorit kuluvat nopeammin harjojen ja kommuttorin välisen kitkan vuoksi.Harjattomilla tasavirtamoottoreilla (BLDC) on kuitenkin pitkä elinikäinen kuin AC-moottorit ja ne ovat erittäin luotettavia pienitehoisissa tai tarkkuuslaitteissa.Joten se riippuu tasavirtamoottorin tyypistä ja siitä, miten sitä käytetään.
AC -moottorit voivat olla vaikeampi hallita, koska niiden nopeuden muuttaminen vaatii monimutkaisia laitteita, kuten VFD: tä.Ne eivät myöskään reagoi yhtä nopeasti signaalien hallintaan, mikä tekee niistä vähemmän ihanteellisia tehtäviin, jotka tarvitsevat nopeuden muutoksia.DC -moottorit, erityisesti harjatut, vaativat enemmän huoltoa harjan kulumisen vuoksi.Ne voivat myös olla vähemmän tehokkaita korkean tehon tasolla ja tarvitsevat elektronisia ohjaimia, kuten PWM -piirejä nopeuden hallintaan.Lisäksi he eivät usein pysty käsittelemään suuria kuormia ja AC -moottoreita ilman suuria tai ylikuumenemista.
AC -moottoreille muuttuvan taajuusasemia (VFD) käytetään nopeuden muuttamiseen säätämällä virtalähteen taajuutta ja jännitettä.DC -moottoreille pulssin leveyden modulaatio (PWM) on yleisin menetelmä, jossa nopeutta säädetään kytkemällä nopeasti jännite päälle ja pois päältä tehon toimittamiseen.Molemmissa tapauksissa suljetun silmukan ohjausjärjestelmät voidaan lisätä anturien avulla moottorin nopeuden seuraamiseksi ja sen säätämiseksi automaattisesti tarjoamalla yhdenmukaisen ja tarkan toiminnan vaihtelevien kuormitusten välillä.
21.05.2025
20.05.2025
24.04.8000 147826
24.04.2000 116848
24.04.1600 111382
24.04.0400 85354
01.01.1970 82137
01.01.1970 67770
01.01.1970 64260
01.01.1970 63527
01.01.1970 54309
01.01.1970 52546